
1 2 5 6
А) на 2 - число делится на 2, если последняя цифра :0, 2, 4 , 6 , 8.
МОЖНО. например: 126, 216, 162, 516 и т.д. ( последнее число ставим четное)
Б) на 3, число делится на 3, если сумма его цифр делится на 3
МОЖНО. например: 126 ( 1 + 2 + 6 = 9 - делится на 3), 216, 621, 261... и т.д. ( нужны три числа, сумма которых будет делиться на 3)
В) на 5 - число делится на 5, если последняя цифра 0 или 5
МОЖНО. например: 125, 165, 615... и т.д. ( последнюю цифру ставим 5)
Г) на 10 - число делится на 10, если запись числа оканчивается 0.
НЕЛЬЗЯ. среди данных цифр 0 нет.
ответ: А - можно, Б - можно, В - можно, Г - нельзя.
36
Пошаговое объяснение:
Из условия видно, что в крайнем вагоне №1 больше всего пассажиров, так как в вагоне №5 на 2 человека меньше, чем в вагоне №1. Следовательно, в вагоне №1 не может быть пассажиров меньшего всего.
Минимальное количество пассажиров в вагоне №6 составляет:
35-3=32 человека.
Пояснение:
35 человек едет в вагоне №4, что на 3 пассажира больше, чем в вагоне №6.
Максимальное количество пассажиров в вагоне №1 составляет:
32+13=45 человек.
Пояснение:
32 человека едет в вагоне №6, причём разница составляет 13 человек с вагоном №1.
Количество пассажиров в вагоне №5 составляет:
45-2=43 человека.Количество пассажиров в вагонах №№2 и 3 составляет:
233-(45+35+43+32)=233-155=78 человек.
x - количество пассажиров в вагоне №2.
x+(x+6)=78
2x=78-6
x=72/2=36 человек едет в вагоне №2.
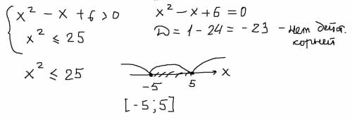
ответ: Верхнее уравнение не имеет действительных корней, дискриминант отрицателен. Для нижнего от -5 до 5 включительно.