М
Молодежь
К
Компьютеры-и-электроника
Д
Дом-и-сад
С
Стиль-и-уход-за-собой
П
Праздники-и-традиции
Т
Транспорт
П
Путешествия
С
Семейная-жизнь
Ф
Философия-и-религия
Б
Без категории
М
Мир-работы
Х
Хобби-и-рукоделие
И
Искусство-и-развлечения
В
Взаимоотношения
З
Здоровье
К
Кулинария-и-гостеприимство
Ф
Финансы-и-бизнес
П
Питомцы-и-животные
О
Образование
О
Образование-и-коммуникации
vadar22222
vadar22222
04.10.2020 04:15 •  Математика

3/7+4/17 решите и сократите примерно вот так 2/3+3/6=4+3/6=7/6=2​

👇
Ответ:
Bashirov12
Bashirov12
04.10.2020

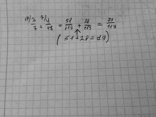
 \frac{3}{7} + \frac{4}{17} = \frac{3 \times 17 + 4 \times 7}{119} = \\ = \frac{51 + 28}{119} = \frac{79}{119}

4,5(10 оценок)
Ответ:
мамаТВ
мамаТВ
04.10.2020
Удачи тебе в учёбе(͡° ͜ʖ ͡°)
3/7+4/17 решите и сократите примерно вот так 2/3+3/6=4+3/6=7/6=2​
4,4(56 оценок)
Открыть все ответы
Ответ:
VolkYula69
VolkYula69
04.10.2020
Понятие "культурный человек" довольно относительно и в первую очередь зависит от среды его обитания. Другими словами, человек, всю жизнь проживший в глубинке и считавшийся там вполне себе культурным человеком, приехав в крупный город, может таковым ни сколечко не считаться.
Однако, если говорить в общих чертах, то культурный человек , по моему мнению, - это прежде всего тот человек, который всегда стремится стать лучше, чем он есть на данный момент. Это такой человек, который уважительно относится к себе,к другим и к окружающему его миру. Человек, который знает элементарные правила этикета и законы мироустройства. Наконец, это тот человек, которого можно назвать Человеком с большой буквы!
Как стать культурным человеком? Это не сложно, главное - заинтересованность. Выбирать себе правильное окружение, читать различную литературу и не только художественную, но и научную. Ходить в театры, в кино, на выставки. Путешествовать. Заниматься спортом. Вести здоровый образ жизни, заниматься любимым делом и быть в гармонии с самим собой. 
4,8(72 оценок)
Ответ:
Sodomovap
Sodomovap
04.10.2020
Культура сильно связана с нашей жизнью,для нас она даже стала обыденной и незаметной.Но хотим мы этого или нет -мы имеем к ней непосредственное отношение.В наше время люди уделяют мало внимания КУЛЬТУРЕ!Многие даже и не задумываются о ней на протяжении всей жизни!Хотя ,если человек живет в обществе,то его нельзя считать полностью отрешенным от культуры .В течении жизни человек накапливает опыт и передает его из поколения в поколение.Ведь в жизни чем опытней человек,тем он более конкуренто если ему есть откуда брать этот опыт,значит у нег есть преимущество в жизни.Вообще воспитание родителей ,влияние окружения,друзья, искусство,литература,музыка(желательно классика)-все это формирует ЛИЧНОСТЬ,а вместе с ним и КУЛЬТУРНОГО ЧЕЛОВЕКА!
4,4(93 оценок)
Это интересно:
Новые ответы от MOGZ: Математика
logo
Вход Регистрация
Что ты хочешь узнать?
Спроси Mozg
Открыть лучший ответ