
Mening sevimli sport basketbolim! Har ikki jamoa, basketbol o'ynab, har besh o'yinchi iborat (har bir jamoa 12 futbolchisi bor, va o'zgartirilishi shart emas). Har bir jamoa maqsadi - to'pni ruxsat yo'q ochiq halqa raqibi yetdi va boshqa jamoa to'pni yutib ruxsat bermadi. uni axlatga tashlang. Ushbu savat zamindan taxminan 3,05 metr (10 fut) dir. Ikki ball - uzoq uch ochko va uch (uch) yo'nalishlari chap va o'ng; Penalti bir marta qayd etiladi. 15 m basketbol - - basketbol sud standart hajmi kengligi, 28 metr bo'ladi. Besh yoshdan boshlab 5 yil tortib dunyoda eng mashhur sport, bir, men maktab basketbol o'qishni istagan. Men basketbolga qiziqaman, turli o'yinlarni tomosha qilaman, yangi qoidalarni o'rganaman. Umuman, basketbol mening sevimli sport o'yinim.
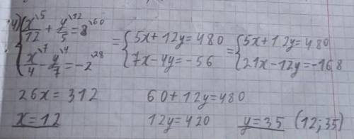
Пошаговое объяснение:
всё правильно, сам проверил