М
Молодежь
К
Компьютеры-и-электроника
Д
Дом-и-сад
С
Стиль-и-уход-за-собой
П
Праздники-и-традиции
Т
Транспорт
П
Путешествия
С
Семейная-жизнь
Ф
Философия-и-религия
Б
Без категории
М
Мир-работы
Х
Хобби-и-рукоделие
И
Искусство-и-развлечения
В
Взаимоотношения
З
Здоровье
К
Кулинария-и-гостеприимство
Ф
Финансы-и-бизнес
П
Питомцы-и-животные
О
Образование
О
Образование-и-коммуникации
Kira1626
Kira1626
25.08.2022 07:48 •  Математика

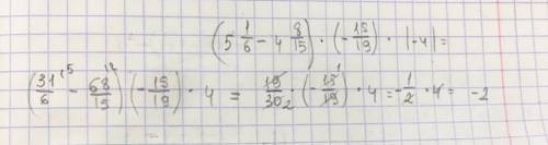
(5 1/6 - 4 8/15) умножить (-15/19) умножить модуль -4

👇
Ответ:
Profesor2Max
Profesor2Max
25.08.2022
Держи ,ответ будет -2
(5 1/6 - 4 8/15) умножить (-15/19) умножить модуль -4
4,7(3 оценок)
Открыть все ответы
Ответ:
llizka094
llizka094
25.08.2022
Герб россии: Государственный герб России - это золотой двуглавый орёл, помещённый на красном геральдическом щите; над орлом - три исторические короны Петра I. Две малые - над каждой из голов и одна большая над двумя малыми коронами; в лапах орла - скипетр и держава; на груди орла на красном щите - всадник, поражающий копьём дракона. Геральдический щит - это фигура особой формы, на которой по традиции изображают гербы. Щитом эта фигура называется потому, что когда-то каждый рыцарь на своём щите изображал фамильный герб, и постепенно гербы стали делать такими, чтобы их удобно было располагать на щитах. Геральдическим щит называется потому, что геральдика - это наука, которая изучает и создаёт гербы. Другое название геральдики - гербоведение. Скипетр и держава - символы российской власти. Скипетр - это жезл указующий, или трость, или посох. В античной мифологии скипетр был у верховного божества. Держава - это шар с крестом - символ власти царя над миром. Ранее державу называли "яблоком государевым". Всадник, поражающий копьём дракона на груди у орла - это герб Москвы - Святой Георгий Победоносец.
4,5(85 оценок)
Ответ:
Alenka341
Alenka341
25.08.2022
3)Выражение: X^2+3*X-28=0
Квадратное уравнение, решаем относительно X: 
Ищем дискриминант:D=3^2-4*1*(-28)=9-4*(-28)=9-(-4*28)=9-(-112)=9+112=121;
Дискриминант больше 0, уравнение имеет 2 корня:X_1=(√121-3)/(2*1)=(11-3)/2=8/2=4;X_2=(-√121-3)/(2*1)=(-11-3)/2=-14/2=-7.
4)Выражение: -6*X^2+37*X-6=0
Квадратное уравнение, решаем относительно X: 
Ищем дискриминант:D=37^2-4*(-6)*(-6)=1369-4*(-6)*(-6)=1369-(-4*6)*(-6)=1369-(-24)*(-6)=1369-(-24*(-6))=1369-(-(-24*6))=1369-(-(-144))=1369-144=1225;
Дискриминант больше 0, уравнение имеет 2 корня:X_1=(√1225-37)/(2*(-6))=(35-37)/(2*(-6))=-2/(2*(-6))=-2/(-2*6)=-2/(-12)=-(-2/12)=-(-1/6)=1/6;X_2=(-√1225-37)/(2*(-6))=(-35-37)/(2*(-6))=-72/(2*(-6))=-72/(-2*6)=-72/(-12)=-(-72/12)=-(-6)=6.
5) Выражение: 3*X^2-X+1=0
Квадратное уравнение, решаем относительно X: 
Ищем дискриминант:D=(-1)^2-4*3*1=1-4*3=1-12=-11; 
Дискриминант меньше 0, уравнение не имеет корней.
6) Квадратное уравнение, решаем относительно X: 
Ищем дискриминант:D=24^2-4*9*16=576-4*9*16=576-36*16=576-576=0; 
Дискриминант равен 0, уравнение имеет 1 корень:X=-24/(2*9)=-24/18=-4/3. 
4,5(21 оценок)
Новые ответы от MOGZ: Математика
logo
Вход Регистрация
Что ты хочешь узнать?
Спроси Mozg
Открыть лучший ответ