
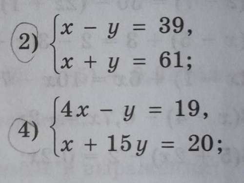
Пошаговое объяснение:
2)х-у+х+у=39+61
2х=100
х=100:2
х=50
50-у=39
50-39=у
у=11
х=50,у=11
4)4х-у=19
х+15у=20
х=20-15у
4(20-15у)-у=19
80-60у-у=19
-61у=19-80
-61у=-61
у=61:61
у=1
4х-1=19
4х=19+1
4х=20
х=20:4
х=5
х=5,у=1
Argumenter sur les avantages et l'importance de l'éducation physique dans la vie de chaque personne, il est nécessaire, tout d'abord, de trouver par eux-mêmes un sport qui ne serait pas seulement s'adapter à la capacité tout à fait naturel, mais aussi des préférences personnelles. Dans cet exercice pour moi a été la natation, et, en le faisant, moi, avec la fatigue agréable, se sentent toujours un plaisir indescriptible.
Emporté par la natation, une personne devient plus fort et plus dur, ses muscles se développent de façon dynamique et naturellement, la création d'un torse belle et attrayante. Déplore l'échelle, la souplesse, la puissance et élégance en font la proportion des hommes réels. Tracer des traits forts, l'homme porte la charge, beaucoup plus grave que tout autre exercice à la salle de gym.
Piscine très bon pour la santé. Essayer de vaincre la résistance de l'eau, le nageur fort développement de ses muscles, ses articulations deviennent plus souples, ce qui aide le corps à rester jeune pendant de nombreuses années. Faire respirations méthodiques, qui est requis par chacun des styles modernes de natation, on augmente la quantité de lumière, de développer l'endurance respiratoire.
Athlète de natation attraper entre en combat avec l'élément eau, puissant et au-delà de l'homme, et ce sentiment dans un soin particulier et des éperons, spodvig aux réalisations sportives jamais.
En outre, la natation - il est extrêmement divertissant et beau sport. S'enfouissant dans une mousse blanche, d'un revêtement fraction de seconde au-dessus de la surface, la course pour la course en faisant un mouvement lisse, mais puissant, bon nageur devient comme une créature de la mer forte et rapide, en surmontant l'océan sans fin.
Développer et perfectionner ses compétences, athlète, nageur et donc améliore votre corps et de la personnalité, de plus en plus non seulement d'année en année, mais l'expérience.
Le sport est toujours bon et correct, quel que soit le sport que vous ne l'avez pas fait - il un impact positif sur votre santé. Il est des sports qui sont liés à mentale au travail, mais la plupart de tous comprennent également actif et l'un des plus populaires, naturellement, après que le football est la natation. Car l'homme, régulièrement l'étudiant en apnée dira que, après une séance d'entraînement venez à la maison est absolument fatigué, mais en même temps ce n'est pas la fatigue, comme après le travail, et tout de l'autre variante, à la frontière avec plaisir.
Aller surtout cours de ces types de sport gars - parce que la natation se développe la force et de l'endurance, propice à la formation de pur figure masculine Mais n'est pas seulement à cause de ce facteur est la peine de faire de la plongée: régulièrement en surmontant la résistance de l'eau de la société articulations lors de la ce de plus en plus mobile, et donc depuis longtemps отодвинется cette période, lorsque le changement de la météo sera “ломить os”.
Aussi dans le processus de mouvement nageur fait rythmiques respirations et выдохи, et cela contribue à augmenter le volume de poumon, et, comme une conséquence, le renforcement du système respiratoire et de l'augmentation de son endurance. Et surtout, il faut toujours se rappeler - eau c'est la vie, après tout, pas étonnant de nombreuses maladies, en particulier pour la peau et des maladies du système cardio-vasculaire, les médecins attribuent les traitements de l'eau. Régulièrement la poursuite de la natation, l'homme se trouve en permanence dans l'eau, ce qui sans aucun doute un impact positif sur la santé.
у =х-39
x+x-39=61
2x=61+39
2x=100
x=100÷2
x=50
50+50-39=61
100-39=61
61=61
x-y=39
50-y=39
y=50-39
y=11
50-11=39
39=39
x+y=61
50+11=61
61=61
x=50 y=11
4) y=4x-19
x+15×(4x-19)=20
x+60x-285=20
61x=20+285
61x=305
x=305÷61
x=5
4×5-y=19
20-y=19
y=20-19
y=1
4×5-1=19
19=19
5+15×1=20
5+15=20
20=20