М
Молодежь
К
Компьютеры-и-электроника
Д
Дом-и-сад
С
Стиль-и-уход-за-собой
П
Праздники-и-традиции
Т
Транспорт
П
Путешествия
С
Семейная-жизнь
Ф
Философия-и-религия
Б
Без категории
М
Мир-работы
Х
Хобби-и-рукоделие
И
Искусство-и-развлечения
В
Взаимоотношения
З
Здоровье
К
Кулинария-и-гостеприимство
Ф
Финансы-и-бизнес
П
Питомцы-и-животные
О
Образование
О
Образование-и-коммуникации
sofom132
sofom132
26.03.2020 07:27 •  Математика

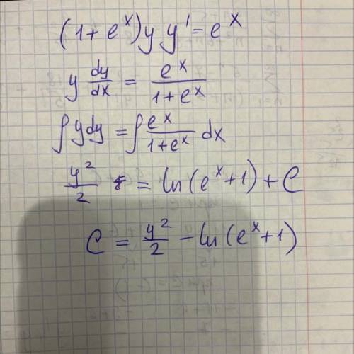
Найти интеграл дифференцированного уравнения (1+е^x)yy = e^x


Найти интеграл дифференцированного уравнения (1+е^x)yy = e^x

👇
Ответ:
Ramaz7771
Ramaz7771
26.03.2020
Вот решение дифференциального уравнения
Найти интеграл дифференцированного уравнения (1+е^x)yy = e^x
4,6(20 оценок)
Открыть все ответы
Ответ:
суммы отнимаем эти 5 и делим на два, получаем (25-5)/2=10. Значит число которое мы ищем находиться на расстоянии 10 от 5 влево или от 20 вправо. Для определения в какую сторону нужно сместить любое из названных чисел на 1, то есть берем 14 и 20. В ответ получаем сумму 9+15=14. Так как сумма меньше то нужно двигаться именно в этом направлении. Теперь можем от 15 отнять 10 и получить 5. Если бы число было вправо от 20, то сумма увеличилась бы, и тогда мы точно знали что это 30. Так что ответ будет за два хода. 
4,7(58 оценок)
Ответ:
ZL708
ZL708
26.03.2020
Строение: Кишечнополостные – одни из первых многоклеточных животных. В отличие от клеток простейших их клетки специализированы на выполнении определенных функций. Они не к самостоятельному существованию. Тело образовано двумя слоями клеток: наружный (эктодерма) и внутренний (энтодерма). Между ними находится мезоглея — студенистый неклеточный слой. Клетки эктодермы: кожно-мускульные, имеют в основании мускульные волокна. За счет их сокращения происходит движение (тело укорачивается). Cтрекательные, имеют чувствительный волосок, стрекательную капсулу и стрекательную нить. При прикосновении к чувствительному волоску нить выбрасывается и вонзается в жертву (или врага). Из капсулы по нити стекает яд, который парализует ее,либо вызывает сильное жжение и отпугивает. промежуточные делиться и превращаться в клетки других типов, отвечают за регенерацию и бесполое размножение. нервные, имеют отростки возбуждаться и передавать нервный импульс. Они соединяются друг с другом и образуют диффузную нервную систему (нервная сеть). половые – сперматозоиды и яйцеклетки. Некоторые виды кишечнополостных раздельнополы, но есть и гермафродиты. Энтодерма выстилает изнутри кишечную полость и имеет два типа клеток: эпителиально-мускульные, пищеварительные в своем основании имеющие мускульное волокно, расположенное поперечно относительно оси тела, при их сокращении тело гидры становится узким. На конце клеток, обращенном в кишечную полость, расположены жгутики (подгоняют к себе частицы пищи) и ложноножки (захватывают пищу и образуют пищеварительные вакуоли). Таким образом, помимо движения эти клетки обеспечивают внутриклеточное пищеварение. эпителиально-мускульные, железистые, выделяют в пищеварительную полость ферменты, расщепляющие органические вещества. Этот процесс называется полостное пищеварение
4,4(35 оценок)
Это интересно:
Новые ответы от MOGZ: Математика
logo
Вход Регистрация
Что ты хочешь узнать?
Спроси Mozg
Открыть лучший ответ