
Ока́ — река в европейской части России, крупнейший из правых притоков Волги.
Длина — 1498,6 км. Площадь бассейна — 245 тыс. км².
Гу́слица — река в Московской области, левый приток реки Нерской. Исток близ города Егорьевска. Течёт сначала на север, а затем на запад, впадая в реку Нерскую у села Хотеичи. Верховья Гуслицы до селаИльинский Погост густо заселены и почти безлесны. На Гуслице стоят деревня Слободище ( Казанская церковь, построенная 150 лет назад), село Хотеичи (Троицкая церковь в стиле классицизма XIX века, церковная ограда с башенками XIX века).
По имени реки была названа волость Гуслица, существовавшая в средневековье.
Волга — крупнейшая река Европы и одна из самых длинных рек в мире.
Протяженность Волги до создания водохранилищ и постройки Волжского каскада ГЭС составляла 3690 км, на сегодняшний день — 3530 км, правда, некоторые специалисты утверждают что длина Волги уменьшилась до 3430 км 1. Волга занимает 6 место по длине среди рек России2 и 16 место — среди рек всего земного шара, но превосходит по длине все реки мира, впадающие во внутренние водоемы3.
Площадь Волжского бассейна 1 млн 360 тыс. км², что составляет около 1/3 Европейской части РФ. Система бассейна Волги включает 151 тыс. рек, ручьев и временных водотоков общей протяженностью 574 тыс. км. В Волгу впадает 200 притоков.
Осётр — река в Московской, Рязанской и Тульской областях России, правый приток Оки.
Длина — 228 км, площадь бассейна — 3480 км². Питание преимущественно снеговое. Замерзает в ноябре, вскрывается в конце марта — апреле. На реке стоит город Зарайск и посёлок городского типаСеребряные Пруды.
Берёт начало на Среднерусской возвышенности, в Тульской области, близ деревни Мелеховка. Течёт в живописной долине преимущественно в широтном направлении по холмистой безлесной местности. По верхнему течению Осетра — выходы известняка. Впадает в Оку в 870 км от её устья, в 14 км выше Коломны. Река несудоходна.
Кля́зьма — река в Европейской части России, протекающая по территории города Москвы, Московской, Владимирской, Ивановской иНижегородской областей, левый приток Оки. Длина — 686 км, площадь бассейна — 42,5 тыс. км². Среднегодовой расход воды — в 185 км от устья, у городаКоврова, равняется 139—147 м³/с. Питание преимущественно снеговое. Замерзает в ноябре, вскрывается в первой половине апреля.
Сестра́ — река в Солнечногорском, Клинском и Талдомском районах Московской области, а также вКонаковском районе Тверской области России. Самый крупный левый приток Дубны (в бассейне Волги). Берёт начало в озере Сенеж, в нижнем течении протекает под каналом им. Москвы. На Сестре расположен городКлин.
Длина Сестры — 138 км, площадь бассейна — 2680 км². Ширина русла реки в верховьях достигает 10—15 м, глубина — до одного метра, в низовьях ширина — 20—30 м, глубина 2—3 м. Питание преимущественно снеговое. Среднегодовой расход воды — в 38 км от устья — 9,9 м³/с. Сестра замерзает в ноябре — начале декабря, вскрывается в конце марта — апреле. Главный приток — Яхрома.
На́ра — река в Московской и Калужской областях России, левый приток Оки. Длина — 158 км, площадь бассейна — 2030 км². Среднегодовой расход воды — в среднем течении — 5 м³/с. Замерзает в начале декабря, вскрывается в начале апреля. Вытекает из Полецкого озера, протекает через Нарские пруды. В верховьях берега низкие, в среднем и нижнем течении — возвышенные.
На Наре расположены города Наро-Фоминск и Серпухов.
Пахра́ — река в Московской области и на новых территориях городаМосквы, правый приток реки Москвы. Длина 135 км, площадь бассейна 2580 км². Среднегодовой расход воды — в низовьях около 10 м³/с. Средний уклон 0,72 м/км. Русло извилистое, питание по преимуществу снеговое. Пахра замерзает в ноябре — декабре, вскрывается в конце марта — апреле. Ледяной покров образуется не каждый год из-за сбросов тёплых сточных вод. Половодье в конце апреля — начале мая.
Крупнейшие притоки: Десна (слева), Моча (справа), Рожайка (справа).
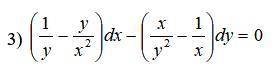
ответ: x² - y² = C .
Пошаговое объяснение:
Переносимо 2-ий вираз вправо і зводимо до спільних знаменників :
(1/у - у/х²)dx = (x/y² - 1/x)dy ;
( x² - y²)dx/(x²y) = ( x² - y²)dy/(xy²) ; Скорочуємо ( x ≠ y ; x ≠ 0 ; y ≠ 0 )
x dx = y dy ; інтегруємо :
∫ x dx = ∫ y dy ;
x²/2 = y²/2 + 1/2 C ;
x² - y² = C , де С - довільна стала . ( якщо не важко , оцініть роботу ) .