М
Молодежь
К
Компьютеры-и-электроника
Д
Дом-и-сад
С
Стиль-и-уход-за-собой
П
Праздники-и-традиции
Т
Транспорт
П
Путешествия
С
Семейная-жизнь
Ф
Философия-и-религия
Б
Без категории
М
Мир-работы
Х
Хобби-и-рукоделие
И
Искусство-и-развлечения
В
Взаимоотношения
З
Здоровье
К
Кулинария-и-гостеприимство
Ф
Финансы-и-бизнес
П
Питомцы-и-животные
О
Образование
О
Образование-и-коммуникации
kshshxuxksns
kshshxuxksns
13.03.2020 05:29 •  Математика

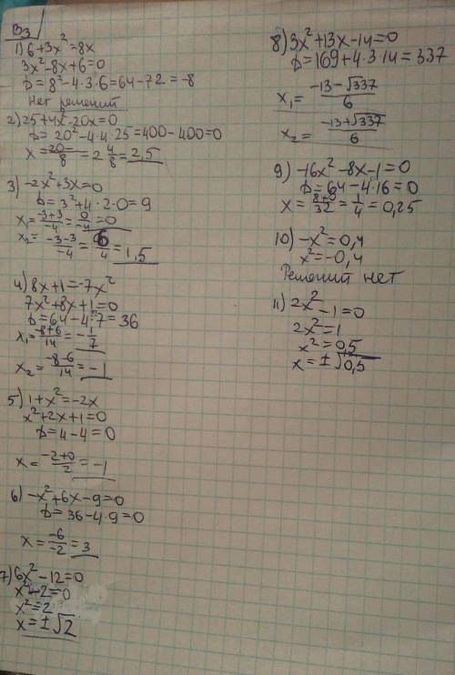
Решить один из вариантов,8кл

👇
Ответ:
Ozerck2002
Ozerck2002
13.03.2020

третий вариант;)

рада ну что ещё бы написать?


Решить один из вариантов,8кл
4,5(56 оценок)
Открыть все ответы
Ответ:
lowander3000
lowander3000
13.03.2020

в традиции народа было издавна принято закатывать пир горой. удалая, весёлая масленица издавна считалась одним из  любимейших зимних праздников. на  масленичную неделю обязательно было принято всех потчевать блинами  — символом восходящего солнца. чтобы рожь и  лён росли высокими (долгими), молодые девушки и  женщины старались как можно дальше прокатиться с  ледяной горы. а  воскресенье недели называли прощёным  — в  это время обычай предполагал поцелуи и  просьбы о  прощении. в  этот  же день сжигали чучело зимы, а  масленицу (ее роль исполняла молодая девушка) с  прибаутками и  улюлюканьем вывозили на  край села, где и  провожали   — вываливали в  снег.

в день весеннего равноденствия приходило время для празднования веснянок. пеклось обрядовое печенье в  форме птиц-жаворонков, которые своим "кликом" должны были призывать весну-красну. дети пели особые песни-заклички, а  молодёжь мастерила глиняные и  деревянные свистульки. в  рамках традиций в  этот день из  берёзовых веток делали куклу веснянки, которую затем носили по  деревне, плели венки, и  устраивали ритуальные трапезы.

а затем солнышко постепенно катилось к  лету… в  традиции славян было отмечать в  день летнего солнцестояния праздник ивана купалы. среди обрядов в  честь этого праздника значилось распевание песен во  славу божества плодородия, плетение венков и  прыжки через костёр. а смелые юноши отправлялись в  лес, чтобы найти огненный цветок папоротника. традиция этого праздника включала в  себя также добывание живого огня при трения сухих палочек.

а зимой, после зимнего солнцеворота, когда день начинал постепенно прибывать на  "воробьиный скок", приходило время для чествования коляды. в  рамках традиций народа в эту ночь не  спали, а  облачались в  забавные звериные маски и  ходили по дворам  — колядовали. дети в  эту ночь пели особые песни, за  исполнение которых их  угощали сладостями. а  подростки катали в  гору огненные колёса, приговаривая: "в гору катись, с  весной воротись". таким образом, весь год являл собой коловорот традиций, обрядов и  обычаев, где каждой примете и  явлению было своё место.

4,4(16 оценок)
Ответ:
Veronika691
Veronika691
13.03.2020
ответ:
а) В магазине а яблок и b груш, сколько всего яблок и груш?
б) У Пети было а марок и b наклеек, марок стало в 3 раза больше а наклеек в 2, сколько всего у Пети марок и наклеек?
в) У Ани и Маши было b резинок, через 3 дня их стало в 2 раза больше, сколько резинок у Ани и Маши
г) В школьной столовой продавали а булочек и b сосисок, через день в столовой булочек стало больше в 4 раза, сколько всего булочек и сосисок в столовой?
д) У Алексея было а солдатиков, он отдал b солдатиков другу, сколько осталось солдатиков у Алексея?
4,7(7 оценок)
Это интересно:
Новые ответы от MOGZ: Математика
logo
Вход Регистрация
Что ты хочешь узнать?
Спроси Mozg
Открыть лучший ответ