М
Молодежь
К
Компьютеры-и-электроника
Д
Дом-и-сад
С
Стиль-и-уход-за-собой
П
Праздники-и-традиции
Т
Транспорт
П
Путешествия
С
Семейная-жизнь
Ф
Философия-и-религия
Б
Без категории
М
Мир-работы
Х
Хобби-и-рукоделие
И
Искусство-и-развлечения
В
Взаимоотношения
З
Здоровье
К
Кулинария-и-гостеприимство
Ф
Финансы-и-бизнес
П
Питомцы-и-животные
О
Образование
О
Образование-и-коммуникации
МЯУСИМ2007
МЯУСИМ2007
24.01.2020 07:07 •  Математика

14. Решите уравнение: log(1/2)(2х−3)=−1. 15. Известно, что cos x =3/5, и 0<х2. Найдите sin x.

19. Найдите точки экстремума заданной функции и определите их характер у=х^3−7х^2−5х+11.

20. Решите задачу: Площадь боковой поверхности цилиндра равна 15, а диаметр основания равен 5. Найдите высоту цилиндра. ( с рисунком фигуры)

21. Решите систему уравнений:

{log6 х+log6 у=2

{х−у=−5

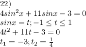
22. Решите тригонометрическое уравнение: 4sin^2 х+11sinх-3=0.

👇
Ответ:
BTS48
BTS48
24.01.2020

14)\\log_\frac{1}{2}(2x-3)=-1\\log_\frac{1}{2}(2x-3)=log_\frac{1}{2}2\\2x-3=2\\2x=5\\x=\frac{5}{2} \\\\15)\\cosx=\frac{3}{5} ; 00\\sinx=?\\\\sinx=\sqrt{1-cos^2x}-\sqrt{1-\frac{9}{25} }=\sqrt{\frac{16}{25} }=\frac{4}{5}

19)\\y=x^3-7x^2-5x+11\\y'=3x^2-14x-5\\y'=0 \\3x^2-14x-5=0\\x_1=-\frac{1}{3} ; x_2=5

(характер точек экстремума прикреплен на фото)

21)\\\left \{ {{log_6x+log_6y=2} \atop {x-y=-5}} \right.

ОДЗ:

\left \{ {{x0} \atop {y0}} \right.

-----------

\left \{ {{log_{6} xy=2} \atop {y=5+x}} \right. \left \{ {{log_6(x(5+x))=2} \atop {y=5+x}} \right. \left \{ {{log_6(x^2+5x)=log_636} \atop {y=5+x}} \right. \left \{ {{x^2+5x-36=0} \atop {y=5+x}} \right.

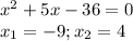
x^2+5x-36=0\\x_1=-9; x_2=4

x=-9 не удовлетворяет ОДЗ.

\left \{ {{x=4} \atop {y=5+x}} \right. \left \{ {{x=4} \atop {y=9}} \right.

ответ: (4 ; 9)

22)\\4sin^2x+11sinx-3=0\\sinx=t ; -1 \leq t \leq 1 \\ 4t^2+11t-3=0\\t_1=-3; t_2=\frac{1}{4}

t=-3 не подходит.

sinx=\frac{1}{4}\\x=(-1)^narcsin\frac{1}{4}+\pi n ; n ∈ Z


14. Решите уравнение: log(1/2)(2х−3)=−1. 15. Известно, что cos x =3/5, и 0<х2. Найдите sin x.19.
4,7(2 оценок)
Открыть все ответы
Ответ:
nicitama228800
nicitama228800
24.01.2020
1. Найдем скорость лодки по течению реки, если скорость течения 1,7 километров в час, а собственная скорость лодки 19,8 километров в час:
1,7 + 19,8 = 21,5 (км/ч).
2. Определим скорость лодки против течения:
19,8 - 1,7 = 18,1 (км/ч).
3. Узнаем сколько километров лодка проплыла по течению за 1,4 часа:
21,5 * 1,4 = 30,1 (км).
4. Найдем сколько километров проплыла лодка против течения за 2,2 часа:
18,1 * 2,2 = 39,82 (км)
5. Определим сколько километров проплыла лодка:
30,1 + 39,82 = 69,92 (км).
ответ: лодка проплыла 69,92 километров.
4,7(84 оценок)
Ответ:
Zekkin
Zekkin
24.01.2020
1. Найдем скорость лодки по течению реки, если скорость течения 1,7 километров в час, а собственная скорость лодки 19,8 километров в час:
1,7 + 19,8 = 21,5 (км/ч).
2. Определим скорость лодки против течения:
19,8 - 1,7 = 18,1 (км/ч).
3. Узнаем сколько километров лодка проплыла по течению за 1,4 часа:
21,5 * 1,4 = 30,1 (км).
4. Найдем сколько километров проплыла лодка против течения за 2,2 часа:
18,1 * 2,2 = 39,82 (км)
5. Определим сколько километров проплыла лодка:
30,1 + 39,82 = 69,92 (км).
ответ: лодка проплыла 69,92 километров.
4,8(68 оценок)
Это интересно:
Новые ответы от MOGZ: Математика
logo
Вход Регистрация
Что ты хочешь узнать?
Спроси Mozg
Открыть лучший ответ