Вход
Регистрация
Спроси Mozg AI
М
Молодежь
К
Компьютеры-и-электроника
Д
Дом-и-сад
С
Стиль-и-уход-за-собой
П
Праздники-и-традиции
Т
Транспорт
П
Путешествия
С
Семейная-жизнь
Ф
Философия-и-религия
Б
Без категории
М
Мир-работы
Х
Хобби-и-рукоделие
И
Искусство-и-развлечения
В
Взаимоотношения
З
Здоровье
К
Кулинария-и-гостеприимство
Ф
Финансы-и-бизнес
П
Питомцы-и-животные
О
Образование
О
Образование-и-коммуникации
.....больше.....
..меньше..
васеня220044
20.11.2020 00:57 •
Математика
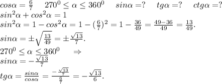
Пусть cos a=6/7, 270 a 360 Найти остальные тригонометрические функции.
👇
Увидеть ответ
Ответ:
Rafaila111
20.11.2020
Пошаговое объяснение:
4,5
(31 оценок)
Открыть все ответы
Ответ:
rayanova81
20.11.2020
4 1/3 /(5/6+0,25)/ (7/12-2/15) / 0,9- 3,6*(7/12+1/9) / (5/8-1/3)*15/7=-3 целых 45\49а)4 целых 1\3 \(5\6+0,25)=4
1)5\6+1\4 =5*4+1*6\24=26\24
2)13\3\(26\24)=13\3*24\26=4
б)(7\12-2\15)\0,9=0,5
1)7\12-2\15=7*15-2*12\180=81\180
2)81\180\(0,9)=81\180\(9\10)=81\180*10\9=9\18=1\2=0,5
в)3,6*(7\12+1\9)=32\15
1)7\12+1\9=7*9+1*12\108=64\108
2)3,6*64\180=36\10*64\108=32\15
г)(5\8-1\3)*15\7=15\24
1)5\8-1\3=5*3-1*8\24=7\24
2)7\24*15\7=15\24
Если это один пример,тогда решаем дальше так
4\(0,5-32\15)\15\24=
1)0,5-32\15=1\2-32\15=1*15-32*2\30=-49\30
2)4\(-49\30)=4\1*(-30\49)=-120\49
3)-120\49\(15\24) =-192\49=-3 целых 45\49
4,6
(85 оценок)
Ответ:
amink1a
20.11.2020
4 1/3 /(5/6+0,25)/ (7/12-2/15) / 0,9- 3,6*(7/12+1/9) / (5/8-1/3)*15/7=-3 целых 45\49а)4 целых 1\3 \(5\6+0,25)=4
1)5\6+1\4 =5*4+1*6\24=26\24
2)13\3\(26\24)=13\3*24\26=4
б)(7\12-2\15)\0,9=0,5
1)7\12-2\15=7*15-2*12\180=81\180
2)81\180\(0,9)=81\180\(9\10)=81\180*10\9=9\18=1\2=0,5
в)3,6*(7\12+1\9)=32\15
1)7\12+1\9=7*9+1*12\108=64\108
2)3,6*64\180=36\10*64\108=32\15
г)(5\8-1\3)*15\7=15\24
1)5\8-1\3=5*3-1*8\24=7\24
2)7\24*15\7=15\24
Если это один пример,тогда решаем дальше так
4\(0,5-32\15)\15\24=
1)0,5-32\15=1\2-32\15=1*15-32*2\30=-49\30
2)4\(-49\30)=4\1*(-30\49)=-120\49
3)-120\49\(15\24) =-192\49=-3 целых 45\49
4,4
(98 оценок)
Это интересно:
С
Стиль-и-уход-за-собой
13.08.2021
Секреты получения и сохранения красивого загара в домашних условиях...
Д
Дом-и-сад
02.09.2022
Как посадить дерево: советы от опытных садоводов...
О
Образование-и-коммуникации
15.03.2022
Квантовая физика: с чего начать, чтобы понять ее?...
З
Здоровье
20.08.2020
Как безболезненно сесть в позу лотоса: советы йогов и научное объяснение...
К
Компьютеры-и-электроника
20.12.2022
Как рассчитать наклон линии линейной регрессии в Excel: шаг за шагом...
Д
Дом-и-сад
16.09.2021
Как очистить потолок от копоти: лучшие методы и рекомендации...
К
Компьютеры-и-электроника
20.03.2023
Как легко и быстро писать текстовые сообщения через Gmail...
Д
Дом-и-сад
20.04.2023
Как правильно выбрать и купить матрас из пены с памятью?...
К
Компьютеры-и-электроника
01.01.2021
Как перейти с платной версии AVG на бесплатную (в Windows)...
З
Здоровье
29.04.2020
Повышенная чувствительность зубов: как определить и что с этим делать?...
Новые ответы от MOGZ: Математика
илья1968
02.08.2020
Высота прямоугольной призьмы объ ел мом800см³ дниною 10см шириною 2см...
Boss008Mta
02.08.2020
Помидоров на 5 больше чем огурцов,огурцов на 4 больше чем морковок,сколько в корзине помидоров и сколько огурцов если морковок 6...
1к2о3т4я5
02.08.2020
Х-18=29 х+15=25 64-a=52 17+b=28 х-23=57 48-х=20...
Alisascol
02.08.2020
Разделить квадрат на 2 равные части...
AiserCool
02.08.2020
Найдите все двузначные числа, которые втрое больше произведения своих цифр....
sdadaev
02.08.2020
Накресли відрізок ом завдожки 120 мм. познач на ньому точку f так, щоб довжина відрізка of становила 1/3 від довжини відрізка ом. познач точку к так, щоб довжина відрізка км становила...
Anastasia7711
02.08.2020
Виклади з паличок таку фігуру.забери 6 паличок,щоб залишилося 3 квадрати.намалюй два варіанти розвязання.(квадрат 3х 3...
Дрындель
02.08.2020
Мама заготовила 15 литров клубничного компота и 6 трёх литровых банок яблочного.сколько литров мама заготовила компота....
roma2233p08v96
02.08.2020
Впервой половине дня магазин продал хлебных изделий в 2,5 раза ,чем во второй половине, или на 180 кг больше. сколько кг хлебных изделий было продано в магазине за весь день....
кирилл2434
02.08.2020
Начерти два отрезка: один длиной 5 см а другой на 10 мм короче.запиши,чему равна длина второго отрезка в миллиметрах....
MOGZ ответил
Сделайте , цитатный план повести василия быкава жураулины крык . дайце заголовак...
Отрезок dm- биссектриса треугольника cde. через точку м проведена прямая , параллельная...
Дано отрицательное число если к квадрату этого числа прибавить умноженное на...
Оцените периметр и площадь прямоугольника со сторонами а см и b см если быстрее...
Определите массу оксида алюминия, который образуется при взаимодействии алюминия...
Визначити силу тяжіння що діє на тіло маса якого 15 кг....
Какому числу равно: – (–18); – (+20); + (–5)вычислите: вычислите: +1))...
Как найти падеж у имени числительного?...
Написать послание людям с призывом беречь воду (3-4 предложения)....
Сравните: одна десятых и одна сотых...
Полный доступ к MOGZ
Живи умнее Безлимитный доступ к MOGZ
Оформи подписку
О НАС
О нас
Блог
Условия пользования
Авторское право
Политика конфиденциальности
Предпочтения cookie-файлов
ПОМОЩЬ
Зарегистрируйся
Центр помощи
Центр безопасности
App
Вход
Регистрация
Что ты хочешь узнать?
Спроси Mozg
Открыть лучший ответ
Пошаговое объяснение: