М
Молодежь
К
Компьютеры-и-электроника
Д
Дом-и-сад
С
Стиль-и-уход-за-собой
П
Праздники-и-традиции
Т
Транспорт
П
Путешествия
С
Семейная-жизнь
Ф
Философия-и-религия
Б
Без категории
М
Мир-работы
Х
Хобби-и-рукоделие
И
Искусство-и-развлечения
В
Взаимоотношения
З
Здоровье
К
Кулинария-и-гостеприимство
Ф
Финансы-и-бизнес
П
Питомцы-и-животные
О
Образование
О
Образование-и-коммуникации
svetakurilova
svetakurilova
31.12.2021 16:36 •  Математика

сделать задание фото из учебника


сделать задание фото из учебника

👇
Ответ:
ANT1XA1P
ANT1XA1P
31.12.2021

Відповідь:

1 - Г, 2 - Д, 3 - А, 4 - В

Пояснення:

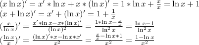
(x\ln x)'=x'*\ln x+x*(\ln x)'=1*\ln x+\frac{x}{x}=\ln x+1\\(x+\ln x)'=x'+(\ln x)'=1+\frac{1}{x}\\(\frac{x}{\ln x} )'=\frac{x'*\ln x-x*(\ln x)'}{(\ln x)^2} =\frac{1*\ln x-\frac{x}{x} }{\ln^2x} =\frac{\ln x-1}{\ln^2x} \\(\frac{\ln x}{x})'=\frac{(\ln x)'*x-\ln x*x'}{x^2}=\frac{\frac{x}{x}-\ln x*1 }{x^2}=\frac{1-\ln x}{x^2}

4,4(68 оценок)
Открыть все ответы
Ответ:
Дильназ231
Дильназ231
31.12.2021
Центр окружности, вписанной в треугольник, является точкой пересечения его биссектрис.
Центр окружности, описанной около треугольника, является точкой пересечения серединных перпендикуляров.
В равностороннем треугольнике биссектрисы являются и медианами и высотами, откуда они являются и серединными перпендикулярами. значит, центры вписанной и описанной окружности совпадают. 

Если у треугольника совпадают центры вписанной и описанной окружностей, то такой треугольник - равносторонний и углы у него по 60 градусов.
4,8(3 оценок)
Ответ:
Marg06
Marg06
31.12.2021
1) sin(22 30')*cos(22 30') = (1/2)*sin(2*(22 30')) = (1/2)*sin(45 ) = (1/2)*(V2)/2 = (V2)/4.
2) исходное выражение = sin( 4*(п/4) - 2*(п/3) ) = sin(п - (2/3)*п) = 
= sin(п/3) = (V3)/2.
3) x = arccos(-0,3328) + 2*п*n, или x=-arccos(-0,3328) + 2*п*n, n - принимает все целые значения.
x = (п - arccos(0,3328) ) + 2*п*n, или
x = -(п-arccos(0,3328) ) + 2*п*n = arccos(0,3328) - п + 2*п*n.
4) 1 - 2*sin^2(x/2) = cos(x),
sin^2(x/2) = (1-cos(x))/2.
(1-cos(x))/2 = 3/4.
1- cos(x) = 3/2.
cos(x) = 1 - (3/2) = -1/2.
x = arccos(-1/2) + 2*п*n, или
x = -arccos(-1/2) + 2*п*n, n принимает все целые значения,
arccos(-1/2) = п - arccos(1/2) = п - (п/3) = (2/3)*п,
x = (2/3)*п + 2*п*n, или
x = -(2/3)*п + 2*п*n.
5) tg(3x+30) = (V3).
3x+30 = 60 + 180*n,
3x = 30 + 180*n,
x = 10 + 60*n.
(x выражено в градусах, n - пробегает все целые значения).
6) см. прикрепленный рисунок.

1) и вычислить sin 22°30' * cos 22°30' 2) вычислить sin(4arctg1-2arcsin(√3)/2) 3) решить тригонометр
4,6(58 оценок)
Это интересно:
Новые ответы от MOGZ: Математика
logo
Вход Регистрация
Что ты хочешь узнать?
Спроси Mozg
Открыть лучший ответ