М
Молодежь
К
Компьютеры-и-электроника
Д
Дом-и-сад
С
Стиль-и-уход-за-собой
П
Праздники-и-традиции
Т
Транспорт
П
Путешествия
С
Семейная-жизнь
Ф
Философия-и-религия
Б
Без категории
М
Мир-работы
Х
Хобби-и-рукоделие
И
Искусство-и-развлечения
В
Взаимоотношения
З
Здоровье
К
Кулинария-и-гостеприимство
Ф
Финансы-и-бизнес
П
Питомцы-и-животные
О
Образование
О
Образование-и-коммуникации
alferovasnega
alferovasnega
20.09.2022 09:43 •  Математика

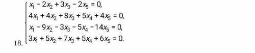
Розв’язати однорідну систему рівнянь.


Розв’язати однорідну систему рівнянь.

👇
Открыть все ответы
Ответ:
odarka1596
odarka1596
20.09.2022
1)
1. 5 * 2 = 10 км (проехал 1 объект)
2. 6 * 2 = 12 км (проехал 2 объект)
3. 10 + 12 = 22 км (проехали оба объекта)
4. 30 + 22 = 52 км (расстояние между объектами через 2 часа)
2)
1. 5 * 2 = 10 км (проехал 1 объект)
2. 6 * 2 = 12 км (проехал 2 объект)
3. 10 + 12 = 22 км (проехали оба объекта за 2 часа)
4. 30 - 22 = 8 км (расстояние между объектами через 2 часа)
3)
1. 10 * 2 = 20 км (проедет велосипедист за 2 часа)
2. 60 * 2 = 120 км (проедет автобус за 2 часа)
3. 200 - 120 км = 80 км (осталось доехать автобусу до пункта Б)
4. 80 + 20 = 100 км (расстояние между автобусом и велосипедистом через 2 часа)
4,4(35 оценок)
Ответ:
agapovaa2002
agapovaa2002
20.09.2022
Будем рассматривать не сами графы, а их дополнения. (Дополнение графа - это граф, в котором 2 вершины смежны тогда и только тогда, когда они не смежны в исходном). Легко видеть, что все дополнения представляют собой регулярные графы типа (7,2). Приведём пример 2 графов, не изоморфных между собой - цикл длины 7 и объедининие цикла длины 4 и цикла длины 3. В последнем графе есть треугольник, а в первом треугольника нет. Значит, 2 исходных графа тоже не изоморфны -  в одном есть 3 вершины, никакая из которых не смежна с другой, а в другом таких 3 вершин нет.
4,7(93 оценок)
Это интересно:
logo
Вход Регистрация
Что ты хочешь узнать?
Спроси Mozg
Открыть лучший ответ