
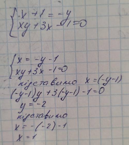
закрепил фото , не за что заранее
(2;+∞)
Пошаговое объяснение:
Объяснение Решения, удовлетворяющие неравенству, – это числа больше 2, а поскольку число 2 не входит в решение неравенства, то это – открытый луч, поэтому мы записываем решение в простых скобках.Важно знать! Основные шаги для правильного выполнения записи числовых промежутков: Выполнить изображение числовой прямой. Изобразить на ней числа, записанные в неравенстве. Штрихом обозначить промежуток, который соответствует неравенству. Записать его слева направо, после чего поставить в записи скобки (согласно тому, какой знак – строгий или нестрогий – имеет это неравенство).
ну вот как бы так должно быть