М
Молодежь
К
Компьютеры-и-электроника
Д
Дом-и-сад
С
Стиль-и-уход-за-собой
П
Праздники-и-традиции
Т
Транспорт
П
Путешествия
С
Семейная-жизнь
Ф
Философия-и-религия
Б
Без категории
М
Мир-работы
Х
Хобби-и-рукоделие
И
Искусство-и-развлечения
В
Взаимоотношения
З
Здоровье
К
Кулинария-и-гостеприимство
Ф
Финансы-и-бизнес
П
Питомцы-и-животные
О
Образование
О
Образование-и-коммуникации
FurtiFool
FurtiFool
02.12.2022 22:48 •  Математика

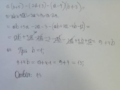
Упрости, затем вычисли значения выражения a(b+5)-(2a+3)-(a-4)(b+3), если b=1

👇
Ответ:
Lolka200Fantazii0
Lolka200Fantazii0
02.12.2022

13

Пошаговое объяснение:

1)Раскрываем скобки

2)Приводим подобные слагаемые

3)Подставляем под значение b=1


Упрости, затем вычисли значения выражения a(b+5)-(2a+3)-(a-4)(b+3), если b=1
4,6(86 оценок)
Ответ:
slia1984
slia1984
02.12.2022

ab+5a-2a-3-ab-3a+4b+12=ab+4b+9

a+4+9=a+13

надеюсь правильно

4,6(81 оценок)
Открыть все ответы
Ответ:
valeroon16
valeroon16
02.12.2022

3/16

Пошаговое объяснение:

4/7 а при делении вторую дробь переворачиваем получается 4/7 умножить на 9/5. 9.4=36, 7.5=35. ответ 36/35

3/8:15/24, переворачиваем вторую дробь 3/8.24/15 сокращаем 3 и 15, 8 и 24. OTBeT: 3/5 или 0,6

7 11/12:3 1/6. Превратим дробь 7 11/12 в неправильную: 7•12+ 11 = 95n получается дробь 95/12, также и со второй 3.6+1=19 получается дробь 19/6, при делении вторую дробь переворачиваем и получается 6/19. Сокращаем 95 и 19, 6 и 12 ответ: 1/10

или 0,1

48: 9/20 получается 48.20 и разделить на 9. ответ: 960/9 15/16 :10 переворачиваем второе число и получается 1/10. 15/6-1/10

4,4(99 оценок)
Ответ:
1941108
1941108
02.12.2022

Всего всевозможных исходов: 6 * 6 = 36

Рассмотрим упорядоченную пару {x ; y}, где x — выпадение очков на первом игральной кубике, y — на втором. Тогда

а) x + y ≤ 5

{1;1}, {1;2}, {1;3}, {1;4}, {2;1}, {2;2}, {2;3}, {3;1}, {3;2}, {4;1} - всего 10 исходов

Вероятность того, что сумма число очков не превосходит 5, равна

P = 10/36 = 5/18

б) xy ≤ 5

{1;1}, {1;2}, {1;3}, {1;4}, {1;5}, {2;1}, {2;2}, {3;1}, {4;1}, {5;1} - всего 10 исходов

Вероятность того, что произведение числа очков не превосходит 5, равна P = 10/36 = 5/18

4,5(74 оценок)
Это интересно:
Новые ответы от MOGZ: Математика
logo
Вход Регистрация
Что ты хочешь узнать?
Спроси Mozg
Открыть лучший ответ