М
Молодежь
К
Компьютеры-и-электроника
Д
Дом-и-сад
С
Стиль-и-уход-за-собой
П
Праздники-и-традиции
Т
Транспорт
П
Путешествия
С
Семейная-жизнь
Ф
Философия-и-религия
Б
Без категории
М
Мир-работы
Х
Хобби-и-рукоделие
И
Искусство-и-развлечения
В
Взаимоотношения
З
Здоровье
К
Кулинария-и-гостеприимство
Ф
Финансы-и-бизнес
П
Питомцы-и-животные
О
Образование
О
Образование-и-коммуникации
lei123
lei123
22.06.2022 06:37 •  Математика

Ребят , решить уравнение, нужно очень


Ребят , решить уравнение, нужно очень

👇
Ответ:
muhkirill2017
muhkirill2017
22.06.2022

Смотри решение на фото ниже


Ребят , решить уравнение, нужно очень
4,5(88 оценок)
Ответ:
Mario1543554
Mario1543554
22.06.2022

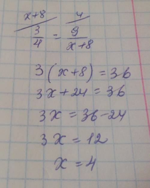
х=4

Пошаговое объяснение:

решаем уравнение,применяя основное св-во пропорции


Ребят , решить уравнение, нужно очень
4,5(46 оценок)
Открыть все ответы
Ответ:
cvthidok
cvthidok
22.06.2022
1 вариант решения, если цифры могут повторяться
Число не может начинаться с нуля, поэтому для первой цифры числа у нас 4 варианта (2;4;6;8)
Для второй и третьей цифры в числе у нас по 5 вариантов (0;2;4;6;8)
Общее количество чисел будет 4 * 5 * 5 = 100 (чисел)
ответ: 100 чисел
Проверка: (200, 202, 204, 206, 208, 220, 222, 224, 226, 228, 240, 242, 244, 246, 248, 260, 262, 264, 266, 268, 280, 282, 284, 286, 288, 400, 402, 404, 406, 408, 420, 422, 424, 426, 428, 440, 442, 444, 446, 448, 460, 462, 464, 466, 468, 480, 482, 484, 486, 488, 600, 602, 604, 606, 608, 620, 622, 624, 626, 628, 640, 642, 644, 646, 648, 660, 662, 664, 666, 668, 680, 682, 684, 686, 688, 800, 802, 804, 806, 808, 820, 822, 824, 826, 828, 840, 842, 844, 846, 848, 860, 862, 864, 866, 868, 880, 882, 884, 886, 888)

2 вариант решения, если цифры не могут повторяться
Число не может начинаться с нуля, поэтому для первой цифры числа у нас 4 варианта (2;4;6;8)
Для второй цифры в числе подходят все 5 цифр, но одну мы уже использовали, так что остается 4 возможных цифры.
Для третьей цифры остается 3 варианта
Общее количество чисел будет 4 * 4 * 3 = 48 (чисел)
ответ: 48 чисел
Проверка: (204, 206, 208, 240, 246, 248, 260, 264, 268, 280, 284, 286, 402, 406, 408, 420, 426, 428, 460, 462, 468, 480, 482, 486, 602, 604, 608, 620, 624, 628, 640, 642, 648, 680, 682, 684, 802, 804, 806, 820, 824, 826, 840, 842, 846, 860, 862, 864)
4,8(82 оценок)
Ответ:
Aiauka11
Aiauka11
22.06.2022
Улетело-6 шаров                                                                                              Осталось-5 шаров                                                                                             Подарили-? шаров                                                                                                                             Решение:                                                                        6+5=11(ш)                                                                                                         ответ:11 шаров подарили Мальвине.  
4,6(83 оценок)
Это интересно:
Новые ответы от MOGZ: Математика
logo
Вход Регистрация
Что ты хочешь узнать?
Спроси Mozg
Открыть лучший ответ