М
Молодежь
К
Компьютеры-и-электроника
Д
Дом-и-сад
С
Стиль-и-уход-за-собой
П
Праздники-и-традиции
Т
Транспорт
П
Путешествия
С
Семейная-жизнь
Ф
Философия-и-религия
Б
Без категории
М
Мир-работы
Х
Хобби-и-рукоделие
И
Искусство-и-развлечения
В
Взаимоотношения
З
Здоровье
К
Кулинария-и-гостеприимство
Ф
Финансы-и-бизнес
П
Питомцы-и-животные
О
Образование
О
Образование-и-коммуникации
рус248
рус248
25.10.2021 04:59 •  Математика

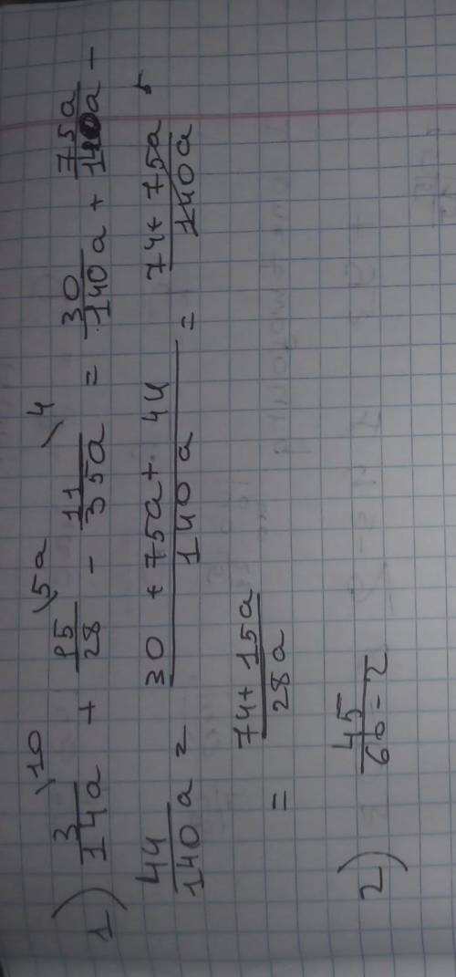
3/14 а + 15/28 - 11/35 А;4 5/6b-2 4/9b+3 1/2b.
!
ДАЮ ВСЕ СВОИ

👇
Ответ:

1


3/14 а + 15/28 - 11/35 А;4 5/6b-2 4/9b+3 1/2b. !ДАЮ ВСЕ СВОИ
4,6(34 оценок)
Открыть все ответы
Ответ:
trohy71
trohy71
25.10.2021
Тема (С+Б) 40 руб.;
Даня (С+П) 45 руб.;
Егор (Б+П) 55 руб;
Алиса ( С+Б+П) ---? руб.
Решение.
40 + 45 = 85 руб. заплатили вместе Даня и Тема, купив 2 сока,булочку и пирожное (2С+Б+П);
85 - 55 = 30 руб разница в деньгах, уплаченных Егором и совместно Темой и Даней, а в покупках это будет разница в 2 сока [( 2С+Б+П )-(С+П)=2С];
30 : 2 = 15 руб. стоимость сока
15 + 55 = 70 руб. стоимость покупки Алисы(С+Б+П): сок(С) и данная в условии стоимость покупки Егора (Б+П)
ответ: 70 рублей должна заплатить Алиса.
Проверка: зная цену сока, из покупки Темы можно найти цену булочки 40-15= 25, а из покупки Дани цену пирожного 45-15=30; тогда покупка Егора (булочка и пирожное) 30+25=55, что соответствует условию.
4,4(16 оценок)
Ответ:
Temir338
Temir338
25.10.2021
Тема (С+Б) 40 руб.;
Даня (С+П) 45 руб.;
Егор (Б+П) 55 руб;
Алиса ( С+Б+П) ---? руб.
Решение.
40 + 45 = 85 руб. заплатили вместе Даня и Тема, купив 2 сока,булочку и пирожное (2С+Б+П);
85 - 55 = 30 руб разница в деньгах, уплаченных Егором и совместно Темой и Даней, а в покупках это будет разница в 2 сока [( 2С+Б+П )-(С+П)=2С];
30 : 2 = 15 руб. стоимость сока
15 + 55 = 70 руб. стоимость покупки Алисы(С+Б+П): сок(С) и данная в условии стоимость покупки Егора (Б+П)
ответ: 70 рублей должна заплатить Алиса.
Проверка: зная цену сока, из покупки Темы можно найти цену булочки 40-15= 25, а из покупки Дани цену пирожного 45-15=30; тогда покупка Егора (булочка и пирожное) 30+25=55, что соответствует условию.
4,6(60 оценок)
Это интересно:
Новые ответы от MOGZ: Математика
logo
Вход Регистрация
Что ты хочешь узнать?
Спроси Mozg
Открыть лучший ответ