М
Молодежь
К
Компьютеры-и-электроника
Д
Дом-и-сад
С
Стиль-и-уход-за-собой
П
Праздники-и-традиции
Т
Транспорт
П
Путешествия
С
Семейная-жизнь
Ф
Философия-и-религия
Б
Без категории
М
Мир-работы
Х
Хобби-и-рукоделие
И
Искусство-и-развлечения
В
Взаимоотношения
З
Здоровье
К
Кулинария-и-гостеприимство
Ф
Финансы-и-бизнес
П
Питомцы-и-животные
О
Образование
О
Образование-и-коммуникации
Askas9999
Askas9999
13.11.2022 21:31 •  Математика

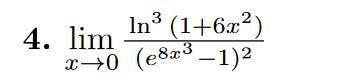
Вычислить предел без использования производных


Вычислить предел без использования производных

👇
Открыть все ответы
Ответ:
seregapomogite
seregapomogite
13.11.2022
25:100*20=5(кг)-взяли из первой корзины                                                                       25-5=20 (кг)-осталось в первой корзине                                                                            25+5=30(кг)-стало во второй корзине,когда в неё переложили из первой          30:100*20=6(кг)-взяли из второй корзины                                                            30-6=24(кг)-осталось во второй корзине                                                                20+6=26(кг)-получилось в первой корзине                                                                  26-24=2(кг)-в первой получилось больше на 2 кг 
4,4(47 оценок)
Ответ:
Dan4ik1111111111
Dan4ik1111111111
13.11.2022
Если один множитель увеличить в 2раза, то произведение умножится вдвое.
Если один множитель уменьшить в 4 раза, то произведение будет на 4 меньше.
Если оба множителя уменьшить в 3 раза,то произведение  увеличится в 9 раз.
Если один множитель уменьшить в 2 раза,а в другой увеличить в 10 раз,то произведение увеличится в 5 раз.
Если один множитель уменьшить в 3 раза,а другой увеличить в 3 раза,то произведение не изменится
 Если один множитель увеличить в 2 раза, а другой увеличить в 3 раза, то произведение увеличится в 6 раз.
4,8(66 оценок)
Это интересно:
Новые ответы от MOGZ: Математика
logo
Вход Регистрация
Что ты хочешь узнать?
Спроси Mozg
Открыть лучший ответ