М
Молодежь
К
Компьютеры-и-электроника
Д
Дом-и-сад
С
Стиль-и-уход-за-собой
П
Праздники-и-традиции
Т
Транспорт
П
Путешествия
С
Семейная-жизнь
Ф
Философия-и-религия
Б
Без категории
М
Мир-работы
Х
Хобби-и-рукоделие
И
Искусство-и-развлечения
В
Взаимоотношения
З
Здоровье
К
Кулинария-и-гостеприимство
Ф
Финансы-и-бизнес
П
Питомцы-и-животные
О
Образование
О
Образование-и-коммуникации
stepura032
stepura032
25.09.2020 23:32 •  Математика

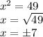
Реши квадратное уравнение x^2=49 число корней

👇
Ответ:
lisovak0777
lisovak0777
25.09.2020

ответ: 7, -7. (±7)

x^{2} = 49\\x = \sqrt{49} \\x = б7

Пошаговое объяснение:

x_1 = 7\\x_2 = -7

[уравнение имеет 2 корня]

4,4(22 оценок)
Открыть все ответы
Ответ:
Manikaiva
Manikaiva
25.09.2020

а) Рассмотрим вариант, когда оба сомножителя неотрицательны

(1-x²)≥0, 3-5x≥0

x∈[-1,1] и x≤ 0,6, тогда выбираем x∈[-1,0.6]

Теперь пусть они оба неположительны:

(1-x²)≤0, 3-5x≤0

x ∈ (-∞,-1]∪[1,+∞) и х ≥ 0.6 тогда x ∈ [1,+∞)

Общее решение x ∈ [-1,0.6] ∪  [1,+∞)

б) сейчас добавлю второе

Вариант x-4 <0, (x+6)(x+1)>0 тогда x < 4 в любом случае и

либо x > -6 и x > -1 либо x < -6 то есть x ∈ (-∞,-6)∪(-1,4)

Вариант x-4>0 не подходит, потому что ∀ x >4 выражение будет положительным ну вот и всё

Пошаговое объяснение:

4,4(90 оценок)
Ответ:
nadialihas2005
nadialihas2005
25.09.2020

а) Рассмотрим вариант, когда оба сомножителя неотрицательны

(1-x²)≥0, 3-5x≥0

x∈[-1,1] и x≤ 0,6, тогда выбираем x∈[-1,0.6]

Теперь пусть они оба неположительны:

(1-x²)≤0, 3-5x≤0

x ∈ (-∞,-1]∪[1,+∞) и х ≥ 0.6 тогда x ∈ [1,+∞)

Общее решение x ∈ [-1,0.6] ∪  [1,+∞)

б) сейчас добавлю второе

Вариант x-4 <0, (x+6)(x+1)>0 тогда x < 4 в любом случае и

либо x > -6 и x > -1 либо x < -6 то есть x ∈ (-∞,-6)∪(-1,4)

Вариант x-4>0 не подходит, потому что ∀ x >4 выражение будет положительным ну вот и всё

Пошаговое объяснение:

4,6(39 оценок)
Это интересно:
Новые ответы от MOGZ: Математика
logo
Вход Регистрация
Что ты хочешь узнать?
Спроси Mozg
Открыть лучший ответ