М
Молодежь
К
Компьютеры-и-электроника
Д
Дом-и-сад
С
Стиль-и-уход-за-собой
П
Праздники-и-традиции
Т
Транспорт
П
Путешествия
С
Семейная-жизнь
Ф
Философия-и-религия
Б
Без категории
М
Мир-работы
Х
Хобби-и-рукоделие
И
Искусство-и-развлечения
В
Взаимоотношения
З
Здоровье
К
Кулинария-и-гостеприимство
Ф
Финансы-и-бизнес
П
Питомцы-и-животные
О
Образование
О
Образование-и-коммуникации
котик8308
котик8308
13.11.2021 11:26 •  Математика

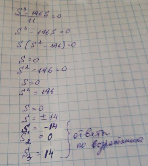
Найди корни уравнения s3−196s/11=0 s1=
s2=
s3=
(корни вводи по возрастанию, первым — наименьший).

👇
Ответ:

Смотри решение на фото..


Найди корни уравнения s3−196s/11=0 s1=s2=s3=(корни вводи по возрастанию, первым — наименьший).
4,6(92 оценок)
Открыть все ответы
Ответ:
Siyahbeyazask1
Siyahbeyazask1
13.11.2021
Ажурная  чеканкатакой вид чеканки еще называют «железным кружевом». при специальных сечек высекается фон изображения. для большего удобства сначала делается сама расходка контура при острого обводника, а далее по этим же линиям проводится высечка. обработка этих изделий проводится с большой осторожностью, так как тоненькие перегородки могут с легкостью расплавиться.заусеницы и острые края запиливаются надфилями и напильником. материалом для ажурной чеканки зачастую служит готовое изделие. в таком случае, главное – это соблюсти линии рисунка и ритм пустот, для того чтобы потом получился красивый орнамент.контурная  чеканка.этот вид чеканки выполняется расходниками на листовом металле и без выколотки рельефа. эта чеканка может быть как выпуклой, так и вогнутой. при такого вида чеканки украшаются предметы быта. красиво смотрится орнамент, который выполнен при контурной чеканки и в одну линию. при этом, для того, чтобы придать дополнительной четкости линиям, фон нужно немного опустить. часто фон могут покрывать мелким орнаментом, что выполнен пуансонами. такие чеканки выполняются на смоле.чеканка  по литью.в литых заготовках должны чеканиться только поверхности. есть возможность приготовить саму отливку, для этого нужно времени немного меньше, но они обязательно должны быть лучше закалены, так как отливка практически не деформируется. для того, чтобы не повредить поверхность нужно подложить под губки деревянные или свинцовые подкладки. а массивные изделия обрабатывают прямо на полу.
4,8(38 оценок)
Ответ:
Matroskinnn
Matroskinnn
13.11.2021

В баскетбол играют две команды, каждая из которых состоит из пяти полевых игроков (всего в каждой команде по 12 человек, замены не ограничены). Цель каждой команды — забросить руками мяч в кольцо с сеткой (корзину) соперника и помешать другой команде завладеть мячом и забросить его в свою корзину[1]. Корзина находится на высоте 3,05 м от пола (10 футов). За мяч, заброшенный с ближней и средней дистанций, засчитывается два очка, с дальней (из-за 3-х очковой линии) — три очка; штрафной бросок оценивается в одно очко. Стандартный размер баскетбольной площадки — 28 м в длину и 15 м — в ширину. Баскетбол — один из самых популярных видов спорта в мире[2].

Баскетбол входит в программу Олимпийских игр с 1936 года (изобретатель игры Джеймс Нейсмит был там в качестве гостя). Регулярные чемпионаты мира по баскетболу среди мужчин проводятся с 1950 года, среди женщин — с 1953 года, а чемпионаты Европы — с 1935 года.

В Европе проводятся международные клубные соревнования: Евролига, Еврокубок, Кубок вызова ФИБА.

Наибольшего развития эта игра достигла в США: чемпионат Национальной баскетбольной ассоциации (НБА) более 50 лет является сильнейшим национальным клубным турниром в мире. Баскетбол считается национальным видом спорта в Литве (см.ЛБЛ).

4,4(23 оценок)
Это интересно:
Новые ответы от MOGZ: Математика
logo
Вход Регистрация
Что ты хочешь узнать?
Спроси Mozg
Открыть лучший ответ