М
Молодежь
К
Компьютеры-и-электроника
Д
Дом-и-сад
С
Стиль-и-уход-за-собой
П
Праздники-и-традиции
Т
Транспорт
П
Путешествия
С
Семейная-жизнь
Ф
Философия-и-религия
Б
Без категории
М
Мир-работы
Х
Хобби-и-рукоделие
И
Искусство-и-развлечения
В
Взаимоотношения
З
Здоровье
К
Кулинария-и-гостеприимство
Ф
Финансы-и-бизнес
П
Питомцы-и-животные
О
Образование
О
Образование-и-коммуникации
кіндра
кіндра
26.12.2022 16:10 •  Математика

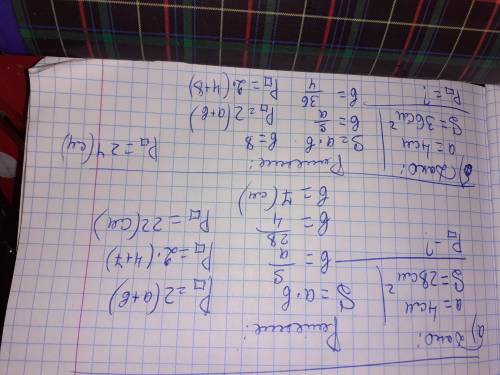
6. найди периметр фигур а) 4 см s =28 см2 б) S=36см очень надо

👇
Ответ:
aiis17
aiis17
26.12.2022

ответ:вот

Пошаговое объяснение:

Скорее всего фигуры это прямоугольник.Если так,то вот решение.


6. найди периметр фигур а) 4 см s =28 см2 б) S=36см очень надо
4,6(74 оценок)
Открыть все ответы
Ответ:
Bagdan112
Bagdan112
26.12.2022
12 - 8 = 4 ящ.на 4 ящика яблок было больше ,чем слив.                                                           40 : 4 = 10 кг. вес одного ящика.                                                                                                   12 х 10 = 120 кг. продали яблок.                                                                                                    8 х 10 = 80 кг. продали слив.                                                                                              ответ: 120 кг яблок, 80 кг. слив. 
4,7(79 оценок)
Ответ:
prynik99
prynik99
26.12.2022
12 - 8 = 4 ящ.на 4 ящика яблок было больше ,чем слив.                                                           40 : 4 = 10 кг. вес одного ящика.                                                                                                   12 х 10 = 120 кг. продали яблок.                                                                                                    8 х 10 = 80 кг. продали слив.                                                                                              ответ: 120 кг яблок, 80 кг. слив. 
4,5(99 оценок)
Это интересно:
Новые ответы от MOGZ: Математика
logo
Вход Регистрация
Что ты хочешь узнать?
Спроси Mozg
Открыть лучший ответ