М
Молодежь
К
Компьютеры-и-электроника
Д
Дом-и-сад
С
Стиль-и-уход-за-собой
П
Праздники-и-традиции
Т
Транспорт
П
Путешествия
С
Семейная-жизнь
Ф
Философия-и-религия
Б
Без категории
М
Мир-работы
Х
Хобби-и-рукоделие
И
Искусство-и-развлечения
В
Взаимоотношения
З
Здоровье
К
Кулинария-и-гостеприимство
Ф
Финансы-и-бизнес
П
Питомцы-и-животные
О
Образование
О
Образование-и-коммуникации
кек786564434
кек786564434
11.08.2022 23:45 •  Математика

Решите пример

(2 5/6 - 6 5/6 : 1 5/36) × 4/19=?

👇
Ответ:
Gdyfyttyffhfry
Gdyfyttyffhfry
11.08.2022

ответ: Получаем:

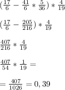
(\frac{17}{6} -\frac{41}{6} *\frac{5}{36} )*\frac{4}{19} (\frac{17}{6} -\frac{205}{216} )*\frac{4}{19} frac{407}{216} *\frac{4}{19} frac{407}{54} *\frac{1}{19} ==\frac{407}{1026}=0,39

Отметь как лучший )

4,8(36 оценок)
Открыть все ответы
Ответ:
solomia113
solomia113
11.08.2022
Биоценоз (от греч. βίος — «жизнь» и κοινός — «общий» ) — это совокупность животных, растений, грибов и микроорганизмов, что заселяют определённый участок суши или акватории, они связаны между собой и со средой. биоценоз — это динамическая, способная к саморегулированию система, компоненты (продуценты, консументы, редуценты) которой взаимосвязаны. один из основных объектов исследования экологии. биоценоз — это сложившаяся группировка растений, животных, грибов и микроорганизмов, населяющих относительно однородное жизненное пространство (участок суши или водоема) . наиболее важными количественными показателями биоценозов являются биоразнообразие (совокупное количество видов в биоценозе) и биомасса (совокупная масса всех видов живых организмов данного биоценоза)  морфология (от греч. μορφή «форма» и λογία «наука» )  пространственная структура экосистемы. популяции разных видов в экосистеме распределены определенным образом - образуют пространственную структуру. различают вертикальную и горизонтальную структуры экосистемы  трофическая структура. виды, входящие в состав экосистемы, связаны между собой пищевыми связями, так как служат объектами питания друг для друга
4,8(50 оценок)
Ответ:
Appledog
Appledog
11.08.2022

Знакомимся с историей Петрозаводска. Город созданный волей Петра Первого сравнительно молодой, его история насчитывает немногим более 300 лет. С созданием города неразрывно связана небольшая речка Лососинка, протекающая в центре Петрозаводска. Именно на этих речных берегах стояли градообразующие заводы. Первым в  устье реки при Петре I построили Шуйский, немного позднее названный Петровским заводом, проработал с 1703 по 1734 год. Завод работавший на карельской руде, стал исторической «колыбелью» города.

 

 

Именно с него началась история города Петрозаводска. Начавшаяся в 1700 году Великая Северная война и первое поражение русской армии, в котором Россия потеряла большую часть артиллерии, побудило Петра Первого обратить внимание на Карелию. Уже тогда здесь существовали частные металлургические заводы, например Спировский завод в Заонежье (Фоймогуба), владельцем и строителем которого был новгородский купец С. Гаврилов. Его медеплавильное предприятие функционировало с 1670 года. Или железоделательные заводы датчанина А. Бутенант фон Розенбуш.


В «Памятной книжке Олонецкой губернии на 1908 год», историк и краевед Мегорский В. П. публикует беседу с неким Т. В. Баландиным. Уроженец Петрозаводска живший во второй половине 18 и первой 19, еще застал развалины Петровского пушечного завода и крепость со вс сооружениями. Интересуясь историей Петрозаводска, он опрашивал древних стариков, еще помнивших как создавались Петровские заводы.

 
Первоначально в Карелию был отправлен отряд по розыску, поимке и приводу в полки, белых рекрутов и солдат гвардии. Проходя по дремучим лесам от деревни до деревни, набрели они на крестьянскую водействующую мукомольную мельницу в устье реки Лососинки. Берега реки густо поросшие еловым лесом, с крестьянскими покосами были дикие и пустынные, но она имела хороший выход в Онежское озеро. 300 лет назад Лососинка была более полноводна и в ней нерестился лосось. Мельник хорошо принял дружину и рассказал о богатствах края и удобном расположении места. Царское поручение ловить беглых было забыто, а Петру Великому было доложено о карельской руде.

 
В 1702 году Петр Алексеевич отправляет в Карелию экспедицию «для поиска медных и серебряных руд», также было поручено подыскать место для постройки железоделательных заводов. Ее возглавлял рудознатец Иван Патрушев, горный деятель иноземец И. Ф. Блюэр, плавильщик Цымерман, в составе были рудо копатели, толмачи, подьячий, штейгер и ученики. Устье быстрой реки Лососинки удобной для установки водяных двигателей, к тому же впадающей в огромное Онежское озеро, запасы лесного сырья и железных руд на территории Шуйского погоста прекрасно подходили для этих целей.

 

4,6(73 оценок)
Новые ответы от MOGZ: Математика
logo
Вход Регистрация
Что ты хочешь узнать?
Спроси Mozg
Открыть лучший ответ