М
Молодежь
К
Компьютеры-и-электроника
Д
Дом-и-сад
С
Стиль-и-уход-за-собой
П
Праздники-и-традиции
Т
Транспорт
П
Путешествия
С
Семейная-жизнь
Ф
Философия-и-религия
Б
Без категории
М
Мир-работы
Х
Хобби-и-рукоделие
И
Искусство-и-развлечения
В
Взаимоотношения
З
Здоровье
К
Кулинария-и-гостеприимство
Ф
Финансы-и-бизнес
П
Питомцы-и-животные
О
Образование
О
Образование-и-коммуникации
vikahamka711
vikahamka711
26.03.2022 13:21 •  Математика

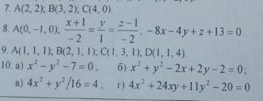
, ЧЕМ МОЖЕТЕ ! 7. Даны точки А, В, С. Найти: а) уравнение и длину ВС; 6) уравнение высоты АД, в) уравнение прямой, проходящей через точку А параллельно ВС; г) уравнение прямой, соединяющей середины сторон АВ и ВС; д) угол А треугольника АВС.

8. Даны: точка А, уравнения прямой и плоскости. Найти: а) угол между прямой и плоскостью, Б)уравнение прямой, проходящей через точку А перпендикулярно данной плоскости; в) уравнение плоскости, проходящей через точку А перпендикулярно прямой; г) расстояние от точки до прямой; д) расстояние от точки до плоскости

9. Даны точки А, В, С, Д. Найти: а) площадь треугольника АВС; 6) объем пирамиды АВСД; в) уравнение плоскости, проходящей через точку Д параллельно плоскости АВС; г) уравнение прямой, проходящей через точку В параллельно прямой АД; д) угол между плоскостями АВС и АВД.

10. Привести уравнения кривых второго порядка к каноническому виду. Найти координаты фокусов, Сделать чертеж.


, ЧЕМ МОЖЕТЕ ! 7. Даны точки А, В, С. Найти: а) уравнение и длину ВС; 6) уравнение высоты АД, в) ура

👇
Открыть все ответы
Ответ:
ZaraKerimova
ZaraKerimova
26.03.2022
Трактористы- трак корень,тор суффикс, ист суффикс,ы окончание.        привозим- при приставка, воз корень,им суффикс. 
вносишь-в приставка, нос корень,ишь суффикс. 
сварщик-с приставка, вар корень, щик суффикс.
 синеватая- син корень, ев суффикс,ат суффикс, ая окончание. 
парашютистка-парашют корень, ист суффикс, к суффикс, а окончание. 
в сарафанчике- сарафан корень, чик суффикс, е окончание.
 уходит-у приставка, ход корень, ит суффикс.
 шерстяным-шерст корень, ян суффикс, ым окончание.
 тихая- тих корень, ая окончание.
 безлунная- без приставка,лун корень, н суффикс, ая окончание.
4,4(95 оценок)
Ответ:
German22848
German22848
26.03.2022
Жил был бандит.
Надоело как-то раз бандиту сидеть на печи и решил он сбежать от своей банды и заняться честным бизнесом.
Идет-идет он по дороге, по большим Московским проспектам, рассматривает витрины. 
Вдруг ему навстречу банкир.
- Бизнесмен-бизнесмен, я тебя съем! - говорит банкир.
- Не ешь меня, друг-банкир, я тебе песенку спою, - ответил Бизнесмен, и запел, - Я Бизнесмен-бизнесмен, я от банды ушел, а от тебя банкир подавно сбегу!
Сказал и убежал прочь. 
Идет Бизнесмен по Новому Арбату, глаз радуется от ярких огней. Вдруг ему на встречу Страховой Агент.
- Бизнесмен-бизнесмен, я тебя съем! - говорит Страховой Агент.
- Не ешь меня, друг-Страховой Агент, я тебе песенку спою, - ответил Бизнесмен, и запел, - Я Бизнесмен-бизнесмен, я от банды ушел, а от банкира ушел, а от тебя, Страховой Агент и подавно сбегу!
Сказал - и побежал прочь. Свернул на тверской бульвар, бежит и смеется.
Тут ему навстречу Налоговая Полиция.

Бизнесмен постоял, подумал.
И решил ничего им не петь и просто побежал в темный лес, обратно к своей шайке бандитов.
Вот и вся сказка. 
4,6(75 оценок)
Новые ответы от MOGZ: Математика
logo
Вход Регистрация
Что ты хочешь узнать?
Спроси Mozg
Открыть лучший ответ