
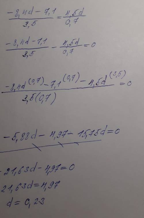
Пошаговое объяснение:
Рассмотрим возможные варианты:
Говорит правду в Понедельник : значит солгал в первый день, соответственно понедельник будет третьим днем. Значит второй день это воскресенье. Этого быть не может , исходя из второго условия
Говорит правду по вторникам , значит в первый день лгал, отсюда Вторник третий день и в этом случае: первый день- воскресенье, второй - понедельник, третий день вторник .
Говорит правду по средам значит лгал в третий день и среда это первый день , а второй получается четверг. Этого также быть не может .
Получается , что Алекс говорит правду по вторникам
вот держи вроде бы должно быть правильно