М
Молодежь
К
Компьютеры-и-электроника
Д
Дом-и-сад
С
Стиль-и-уход-за-собой
П
Праздники-и-традиции
Т
Транспорт
П
Путешествия
С
Семейная-жизнь
Ф
Философия-и-религия
Б
Без категории
М
Мир-работы
Х
Хобби-и-рукоделие
И
Искусство-и-развлечения
В
Взаимоотношения
З
Здоровье
К
Кулинария-и-гостеприимство
Ф
Финансы-и-бизнес
П
Питомцы-и-животные
О
Образование
О
Образование-и-коммуникации
egorhoyrovegiror
egorhoyrovegiror
29.09.2022 14:12 •  Математика

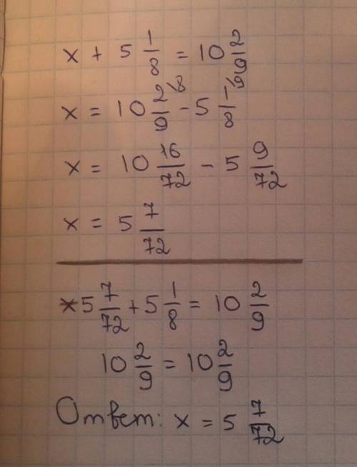
решить уравнение x + 5 1/8 = 10 2/9

👇
Ответ:
yurkamail
yurkamail
29.09.2022

Вот пошаговое решение.

Пошаговое объяснение:


решить уравнение x + 5 1/8 = 10 2/9
4,4(62 оценок)
Ответ:
TopThan
TopThan
29.09.2022

x + 5 1/8 = 10 2/9

х + 41/8 = 10 2/9

х + 41/8 = 92/9

х = 92/9 - 41/8

х = 367/72 = 5 7/72.

4,4(67 оценок)
Открыть все ответы
Ответ:
Polinakovalevallll
Polinakovalevallll
29.09.2022

Пошаговое объяснение:

1) 4+(7/4)*√(5¹¹/₄₉)=4-5*√(256/49)=4-(7/4)*(16/7)=4-7*16/(4*7)=4-4=0.

2)

14x²-5x-1=0   D=5²-4*14*(-1)=25+56=81.     √D=9.

x₁=(5+9)/(2*14)=14/28=1/2.

x₂=(5-9)(2*14)=-4/28=-1/7.

ответ: x₁=1/2      x₂=-1/7.

3)

5/(x-2)+1=14/(x²-4x+4)

5/(x-2)+1=14/(x-2)²

Пусть x-2=t   ⇒

(5/t)+1=14/t²   |×t²

5t+t²=14

t²+5t-14=0    D=81       √D=9

t₁=x-2=2     x₁=4

t₂=x-2=-7    x₂=-5.

ответ: x₁=4       x₂=-5.

4)

9x⁴-40x²+16=0

Пусть x²=t≥0

9t²-40t+16=0     D=1024     √D=32

t₁=x²=4          x=√4           x₁=2           x₂=-2

t₂=x²=4/9      x=√(4/9)      x₃=2/3       x₄=-2/3.

ответ: x₁=2      x₂=-2      x₃=2/3      x₄=-2/3.

5)

x*(x²-16)/(x²-9)≤0

x*(x²-4²)/(x²-3²)≤0

x*(x+4)*(x-4)/(x+3)*(x-3)≤0   ОДЗ: x+3≠0    x≠-3     x-3≠0     x≠3.

-∞__-__-4__+__-3__-__0__+__3__-__4__+__+∞

ответ: x∈(-∞;-4]U(-3;0]U(3;4].

6)

(6-x)/(x²+2x+5)≥0

(6-x)/(x²+2x+1+4)≥0

(6-x)/((x+1)²+4)≥0

Так как ((х+1)²+4)>0    ⇒

6-x≥0

x≤6.

ответ: x∈(-∞;6].

4,6(29 оценок)
Ответ:
bpanraw
bpanraw
29.09.2022

Украї́нські річки́ — це здебільшого довгі водні артерії, що течуть переважно з півночі на південь до Чорного й Азовського морів. Річки північно-західної України течуть з півдня на північний захід і північ до Вісли і Прип'яті. До басейну Чорного й Азовського морів належить понад 90% української території, що її розділяють річки: Дунай з Тисою і Прутом, Дністер, Південний Буг, Дніпро з Прип'яттю і Десною, Дон з Дінцем. До стоку Балтійського моря належать річки басейну Вісли: Вепш, Сян і Західний Буг.Аджамка — ліва притока [[Інгул]анна)|Айдар]] — ліва притока Сіверського Дінця

Акчокрак — права притока Домузли

Аліяга — впадає до озера Китай

Алкалія — впадає в Чорне море

Альма — впадає в Чорне море

Альта (Ільтиця) — права притока Трубежа

4,6(48 оценок)
Это интересно:
Новые ответы от MOGZ: Математика
logo
Вход Регистрация
Что ты хочешь узнать?
Спроси Mozg
Открыть лучший ответ