М
Молодежь
К
Компьютеры-и-электроника
Д
Дом-и-сад
С
Стиль-и-уход-за-собой
П
Праздники-и-традиции
Т
Транспорт
П
Путешествия
С
Семейная-жизнь
Ф
Философия-и-религия
Б
Без категории
М
Мир-работы
Х
Хобби-и-рукоделие
И
Искусство-и-развлечения
В
Взаимоотношения
З
Здоровье
К
Кулинария-и-гостеприимство
Ф
Финансы-и-бизнес
П
Питомцы-и-животные
О
Образование
О
Образование-и-коммуникации
StasMe1337
StasMe1337
28.10.2020 01:59 •  Математика

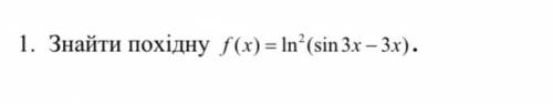
Найти производную (похідну)


Найти производную (похідну)

👇
Открыть все ответы
Ответ:
yamoskit00
yamoskit00
28.10.2020
№1.
1) 320 : 80= 4 (ч.) время, которое потребовалось автомобилю, чтобы проехать  320 км.
2) 420 : 70= 6 (ч.)  время , которое потребовалось автомобилю, чтобы проехать 420 км.
3) 6+4= 10 (ч.) всего  времени заняла поездка
ответ:  10 часов  времени заняла поездка.

№2.
5 кувшинов по 5 литров  в бочку:
5*5 =25 (л)
Вычерпываешь  2 кувшина по 9 л :
2*9=18 (л)
Остается в бочке:
25-18 = 7 (л)  
Переливаешь эти 7 л в ведра.

№3.
1) 2*65= 130 (км)  расстояние , которое проехали туристы 
2) 130+300= 430 (км) расстояние всего
ответ: 430 км расстояние от порта до автовокзала.
4,8(94 оценок)
Ответ:
lehaalesakhok
lehaalesakhok
28.10.2020
№1.
1) 320 : 80= 4 (ч.) время, которое потребовалось автомобилю, чтобы проехать  320 км.
2) 420 : 70= 6 (ч.)  время , которое потребовалось автомобилю, чтобы проехать 420 км.
3) 6+4= 10 (ч.) всего  времени заняла поездка
ответ:  10 часов  времени заняла поездка.

№2.
5 кувшинов по 5 литров  в бочку:
5*5 =25 (л)
Вычерпываешь  2 кувшина по 9 л :
2*9=18 (л)
Остается в бочке:
25-18 = 7 (л)  
Переливаешь эти 7 л в ведра.

№3.
1) 2*65= 130 (км)  расстояние , которое проехали туристы 
2) 130+300= 430 (км) расстояние всего
ответ: 430 км расстояние от порта до автовокзала.
4,6(73 оценок)
Это интересно:
Новые ответы от MOGZ: Математика
logo
Вход Регистрация
Что ты хочешь узнать?
Спроси Mozg
Открыть лучший ответ