М
Молодежь
К
Компьютеры-и-электроника
Д
Дом-и-сад
С
Стиль-и-уход-за-собой
П
Праздники-и-традиции
Т
Транспорт
П
Путешествия
С
Семейная-жизнь
Ф
Философия-и-религия
Б
Без категории
М
Мир-работы
Х
Хобби-и-рукоделие
И
Искусство-и-развлечения
В
Взаимоотношения
З
Здоровье
К
Кулинария-и-гостеприимство
Ф
Финансы-и-бизнес
П
Питомцы-и-животные
О
Образование
О
Образование-и-коммуникации
Lizaveta20021
Lizaveta20021
31.05.2021 00:48 •  Математика

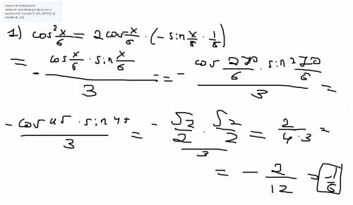
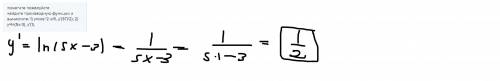
найдите производную функции и вычислите: 1) y=cos^2 x/6, y'(3Π/2); 2) y=In(5x-3), y'(1).

👇
Ответ:
сашп17
сашп17
31.05.2021

ответы ниже и решение

Пошаговое объяснение:


найдите производную функции и вычислите: 1) y=cos^2 x/6, y'(3Π/2); 2) y=In(5x-3), y'(1).
найдите производную функции и вычислите: 1) y=cos^2 x/6, y'(3Π/2); 2) y=In(5x-3), y'(1).
4,4(83 оценок)
Открыть все ответы
Ответ:
3vovo4ka3
3vovo4ka3
31.05.2021
Все факторы окружающей среды, воздействующие на живые организмы, можно разделить как минимум на 3 группы: - абиотические (влияния неживой природы) - биотические (влияния живой природы) - антропогенные (влияния, вызванные разумной и неразумной деятельностью человека) К биотическим относят межвидовые и внутривидовые взаимоотношения между организмами. Межвидовые взаимоотношения – это нейтрализм (оба вида не оказывают никакого воздействия друг на друга) , конкуренция (оба вида оказывают друг на друга неблагоприятное воздействие) , мутализм (оба вида не могут существовать друг без друга) , паразитизм (паразитический вид тормозит рост и развитие своего хозяина) , хищничество (хищный вид питается своей жертвой) . Внутривидовые взаимоотношения имеют большое значение для выживания вида. Многие животные могут нормально размножаться только тогда, когда они живут довольно многочисленной группой. Так, баклан нормально живет и размножается, если в его колонии насчитывается не меньше 10 тыс. особей. Для выживания африканских слонов в стаде должно быть не меньше 25 особей, а северных оленей - 300-400 голов. Не зная особенностей внутривидовых взаимоотношений, допуская отстрел птиц или чрезмерный вылов рыбы, человек обрекает многие виды животных на вымирание.
4,6(86 оценок)
Ответ:
2017minikot
2017minikot
31.05.2021
выходные были почти уникальными - я потратил целых три дня на один город. И тем более уникальными они были потому, что мне там понравилось. Это при моей не очень сильной любви к городам.

Как обычно, сразу после возвращения по горячим следам пишу наиболее яркие впечатления.

1. Наверное, из всех европейских крупных городов, где я был, Рим самый приятный. Он очень органичен и самодостаточен. Туризм его сильно портит, но он настолько древний, что ему все равно – как пережил варваров, так переживет и туристов.

2. Количество памятников старины просто зашкаливает. Весь город - это слоеный пирог из античности, возрождения и классицизма. К концу третьего дня даже самые расписные древности уже совсем не возбуждают, и хочется просто ходить и вкусно питаться.

3. В Риме все такое масштабное, что практически ни одна ключевая достопримечательность не влазит в самый широкоуголный объектив. Наверное, больше ни в одном месте я не сделал столько много панорамных снимков.

4. Из ключевых точек мы так или иначе были везде, кроме крыши замка Святого Ангела. Понравились расписные потолки в Ватикане и церкви Сант-Иньяцио, Палатинский холм, Пантеон во время дождя, а также закатные виды с Алтаря Отечества.

5. Ватиканские музеи по духу более всего близки к московскому метро. Давка, толпа идет "пингвинчиками", длинные коридоры, расписные потолки, лепнина, скульптуры, мозаика, колонны, температурный режим и мраморные ступени. Разве что вместо Дейнеки и Щусева вокруг Рафаэль, Микеланджело и Караваджо.

6. Обилие туристов поражает не меньше. Страшно подумать, что творится в пик сезона в августе-октябре. Чтобы отстоять очередь в ватиканские музеи, надо потратить около полутора часов, а у фонтана Треви вечером не найти свободный пятачок, чтобы сфотографировать и бросить монетку.

7. Итальянская еда прекрасна. Мороженое — однозначно лучшее в мире, а паста — и без меня знаете.

8. Итальянцы шумны, веселы, стильны и общительны. Оперетточность у них в крови. Каждый четко играет свою роль – если это спецназовец, то он брутален, небрит и с большим черным стволом. Если священник, то смиренен и молчалив. Если водитель, то при галстуке и выглаженной белой рубашке. Главное - стиль и приверженность выбранному образу.

9. Женщины однозначно покрасивее испанских, и при этом еще умеют хорошо выглядеть. Правда, страсть к макияжу зачастую приводит к тому, что в старшем возрасте они иногда выглядят так, что кажется, что когда-то они были мужчинами.

10. Очень много людей в форме, которые сидят в машинах или стеклянных будках. При чем форма у всех отличается. Она может быть синей, серой, черной, с фуражками, беретами, шейными платками, шпагами, плащами, берцами, ботинками, сапогами, пистолетами, дубинками и разными смешными кокардами. Чем они конкретно все занимаются, так и не понял, но, судя по всему, служить в органах среди местных очень почетно.

11. На дороге итальянцы ведут себя так же, как москвичи передвигающиеся по Москве водители. Не притегиваются, паркуются, где попало, ездят на красный, резво обгоняют и тоже любят чОрные представительские автомобили с мигалками.

12. Почти нет голубей - их роль выполняют чайки, которые поражают своими размерами и сидят строго на головах всех основных скульптур, установленных на колоннах, фасадах и крышах. И еще они кружат над городом огромными стаями, и надо быть очень осторожным, потому что воздушная опасность от них в разы больше, чем от простых голубей.

13. Наших соотечественников в это время года на удивление мало. Но они хорошо заметны в тот момент, когда ловко обходят километровую очередь в Ватикан по проезжей части, а потом забивают весь обратный самолет баулами со шмотьем. Особенно понравилось искреннее удивление соседки в самолете, которая, увидев у меня на нетбуке фотографию Форума (которая сверху), восхищенно спросила "Вау! А это где, тоже в Риме???"

14. Очень много загорелых парней пакистанского вида, которые предприимчиво предлагают сфотографироваться на «полароид», купить зонт, шаль, мини-штатив для фотоаппарата, жареные каштаны или сумку от «Биркин». Они же вылавливают сачком монетки, которые туристы опрометчиво бросают в фонтаны.

15. Католическая церковь красивая, грандиозно обставленная, но отстраненно-холодная.

16. При слове «Рим» у меня в голове теперь будут всплывать слова теплый, монументальный, изысканный, масштабный, древний, брусчатка, толпа, дырка, паста, мороженое, ливень и громко.

И под завязку еще одна панорама - из Пантеона:
4,7(99 оценок)
Это интересно:
Новые ответы от MOGZ: Математика
logo
Вход Регистрация
Что ты хочешь узнать?
Спроси Mozg
Открыть лучший ответ