М
Молодежь
К
Компьютеры-и-электроника
Д
Дом-и-сад
С
Стиль-и-уход-за-собой
П
Праздники-и-традиции
Т
Транспорт
П
Путешествия
С
Семейная-жизнь
Ф
Философия-и-религия
Б
Без категории
М
Мир-работы
Х
Хобби-и-рукоделие
И
Искусство-и-развлечения
В
Взаимоотношения
З
Здоровье
К
Кулинария-и-гостеприимство
Ф
Финансы-и-бизнес
П
Питомцы-и-животные
О
Образование
О
Образование-и-коммуникации
Tomrico11
Tomrico11
26.10.2021 00:24 •  Математика

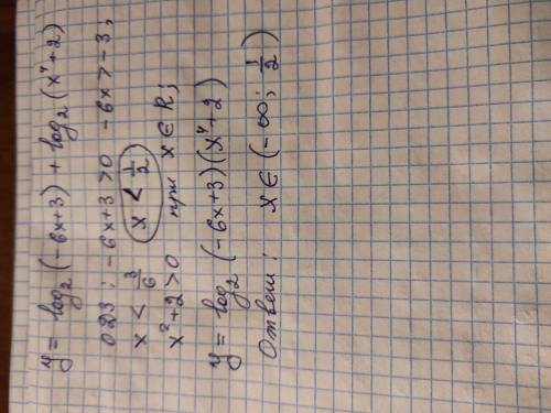
Y=log по основанию 2(-6x+3) + log по основанию 2 x четвёртых +2)

👇
Ответ:
Abdusalamova2004
Abdusalamova2004
26.10.2021

ответ:в прикреплённом файле

Пошаговое объяснение:


Y=log по основанию 2(-6x+3) + log по основанию 2 x четвёртых +2)
4,5(47 оценок)
Открыть все ответы
Ответ:
koneshno
koneshno
26.10.2021
Роль музыки в жизни человека трудно переоценить. Начнем с того, что музыка развитию активности правого полушария, которое у человека задействуется довольно редко (исключение творческие личности). А как раз правое полушарие отвечает за наш творческий потенциал и интуицию.А при игре на музыкальных инструментах задействованы оба полушария, что на гармоничном развитии всех человека. Ребенку, занимающемуся музыкой (пение, игра на музыкальном инструменте) гораздо легче дается изучение иностранных языков.Очень интересно действие музыки на нервную систему человека. Музыка – это звук, то есть звуковые волны разной частоты и в зависимости от того, какую музыку вы слушаете (какой частоты волны воспринимаются вашим ухом), нервная система реагирует либо положительно, либо отрицательно.Есть музыка, оказывающая прямо таки терапевтическое расслабляющее действие. Такую музыку выбирают для медитаций. Есть музыка веселая, возбуждающая, которая может подействовать как тонизирующее средство при усталости. Есть музыка вызывающая агрессию. Воздействие на человека звуком определенной частоты (как правило, этой низкий диапазон) может довести до глубокого расстройства нервной системы.Кстати, музыка выступает сильным якорем. Если в какой либо важной для человека ситуации звучала определенная музыка, она будет долгое время вызывать у него в памяти именно эту ситуацию. Лучше всего подобрать себе музыку, что называется, на все случаи жизни.А вот постоянное использование наушников (особенно тех, которые вставляются в уши) может ухудшить слух, так как звуковая волна не рассеивается, а действует непосредственно на барабанную перепонку. И не надо бросаться в крайности. При всем положительном влиянии музыки, иногда человеку надо побыть в тишине.
4,4(95 оценок)
Ответ:
rada182
rada182
26.10.2021
Я  хочу рассказать о моей школе. Моя школа самая лучшая, я говорю и об учителях и  о своем классе. Учителя самые лучшие, я всегда их понимаю они тоже всегда понимают  своих учеников могут понять  во всем и очень терпимы . Мой класс это  дружные и энергичные. Мы всегда учавствуем в разных мероприятиях вместе, ни когда не ссоримся и очень горжусь что  у меня такой замечательный класс. В столовой кормят очень вкусно поворам за их труд.  Вот что я хотела рассказать о своей школе. 
Ich möchte mit Ihnen über meine Schule erzählen. Meine Schule ist die beste, und ich freue mich über Lehrer und ihre Klasse spricht. Lehrer sind die besten, ich verstehe sie immer, sind sie auch immer zu verstehen, ihre Schüler zu verstehen und zu tolerieren. Meine Klasse ist eine freundliche und energiegeladen. Wir haben immer durch die Teilnahme an verschiedenen Veranstaltungen zusammen, oder wenn nicht streiten und sind sehr stolz, eine so wunderbare Klasse haben
я вообще английский прохожу так что не судите строго)
4,8(6 оценок)
Новые ответы от MOGZ: Математика
logo
Вход Регистрация
Что ты хочешь узнать?
Спроси Mozg
Открыть лучший ответ