
7).3/11 8). 1 5/7
Пошаговое объяснение:
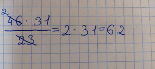
На скрине:>
Можно лучший ответ
ответила на твой 2 вопрос
На 2 скрине

Первый вариант: 1. 0,3*600=180 газет "Досуг"
Газет "Кино" - "а" шт
Газет "Спорт" - "2а"
600-180=420 газет осталось Кино и Спорт
т.е а+2*а=420
3*а=420
а=140 газет Кино, соответственно: 2а=2*140=280 газет Спорт
Проверка: 180+140+280=600шт, что итребовалось доказать
Второй вариант:1. 3/10*600=180 газет досуг\
2.600-180=420 газет осталось Кино и Спорт
3. меньше всего газет кино, т.е в три раза от оставшихся
420/3=140, и спорта от кино в 2 раза больше, т.е. 140х2=280
Блина, задачку такую, мой малой в 4-м классе решает, я думаю должны решать
Третий вариант:
3/10 х 600 +а+2а=600, где а - Кино, 2а - Спорт
180+3а=600
3а=420
а=140
2а=280, ну проще уже некуда просто
1. Знайдіть корінь рівняння
7х -30 = 24-х
8х=54
Х=54/8
х=6,75
2. Знайдіть суму коренів рівнянь
5х+10 = 15х+40
-10х=30
х=-30/10
х=-3
2(-5х+10) = 80
-10х+20=80
-10х=60
х=-60/10
х=-6
-3+(-6)=-9
3. Знайдіть добуток коренів рівнянь
5х+6 = 6 - 5х
5х+5х=6-6
10х=0
х=0
0,13(9,8х+5,4)+1,2(4,5х+і) = 15.
Добуток двох множників один з яких дорівнює 0, дорівнює 0, значить добуток коренів двох рівнянь дорівнює 0.
3. Чому дорівнює 5х, якщо 2(х - 5)+Зх = 15?
2х-10+3х=15
5х=25
5. Яке з наведених рівнянь має найбільший корінь? Напишіть розв′язок
А) 7(х-2) = х-2;
7х-14=х-2
7х-х=14-2
6х=12
х=2
Б) 6х-3 = х-1,5
6х-х=3-1,5
5х=1,5
х=0,3
В) 11х - 5 = 10(х-4)
11х-5=10х-40
11х-10х=-40+5
Х=-35
Г) 4(х+0,5) = х-0,7
4х+2=х-0,7
4х-х=-2-0,7
3х=-2,7
х=-0,9
-35 -0,9 0,3 2
Найбільший корінь А) х=2
6. У трьох рядах 100 кущів смородини. У другому ряду кущів смо¬родини в 3 рази більше, ніж у першому, а в третьому — на 5 ку¬щів менше, ніж у першому. Скільки кущів смородини в кожно¬му з рядів? якщо через х позначено число кущів у першому ряду?Напишіть розв′язок
В) х+х-5+х:3 = 100
2х+ х/3=100+5
2х*3+(х/3)*3=105*3
6х+х=315
х=315/7
х=45
Достатній рівень навчальних досягнень
7. Розв'яжіть рівняння 9 (Зх - 2) - 6 = 5(4х -1)+2.
27х-18-6=20х-5+2
27х-20х=-5+2+18+6
7х=21
х=3
8. В одному ящику було в 7 разів більше апельсинів, ніж у другому. Коли з першого ящика взяли 38 апельсинів, а з другого — 14, то в другому залишилося на 78 апельсинів менше, ніж у першому. Скільки апельсинів було в кожному ящику спочатку?
Нехай у другому ящику х апельсинів, тоді у першому 7х апельсинів. З першого ящика взяли 38 апельсинів 7х- 38, а з другого 14,тобто х-14. В другому ящику на 78 апельсинів менше ніж в першому 7х-38-78=х-14.
7х-38-78=х-14
7х-х=38+78-142
6х=102
х= 17
В другому ящику було 17 апельсинів, у першому було 17*7=119 апельсинів.
Відповідь: у першому ящику 119 апельсинів, у другому ящику 17 апельсинів.
Високий рівень навчальних досягнень
9. Розв'яжіть рівняння
6+(|0,4x-7,5|):0,7= 7
6*0,7+(|0,4x-7,5|):0,7*0,7=7*0,7
4,2+(|0,4x-7,5|)=4,9
(|0,4x-7,5|=4,9-4,2
|0,4x-7,5|=0,7
0,4x=0,7+7,5
0,4х=8,2
Х1= 20,5
0,4x-7,5=-0,7
0,4х=7,5-0,7
0,4х=6,8
Х2=17
3/11 и 1 5/7
Пошаговое объяснение:
Пошаговое на фото.