М
Молодежь
К
Компьютеры-и-электроника
Д
Дом-и-сад
С
Стиль-и-уход-за-собой
П
Праздники-и-традиции
Т
Транспорт
П
Путешествия
С
Семейная-жизнь
Ф
Философия-и-религия
Б
Без категории
М
Мир-работы
Х
Хобби-и-рукоделие
И
Искусство-и-развлечения
В
Взаимоотношения
З
Здоровье
К
Кулинария-и-гостеприимство
Ф
Финансы-и-бизнес
П
Питомцы-и-животные
О
Образование
О
Образование-и-коммуникации

Найди значения переменной m ниспользуя данные рисунка


Найди значения переменной m ниспользуя данные рисунка

👇
Ответ:
r79533240813
r79533240813
26.11.2021

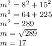
Треугольник MNK — прямоугольный, следовательно, применим теорему Пифагора. Теорема Пифагора гласит, что сумма квадратов катетов равна квадрату гипотенузы:

c²=a²+b² (a=8, b=15, c=m)

{m}^{2} = {8}^{2} + {15}^{2} \\ {m}^{2} = 64 + 225 \\ {m}^{2} = 289 \\ m = \sqrt{289} \\ m = 17

4,8(79 оценок)
Ответ:
Uspex11111
Uspex11111
26.11.2021

неправильный у меня ответ был( извини не могу

4,8(99 оценок)
Открыть все ответы
Ответ:
ааа511
ааа511
26.11.2021
Начало греческой истории скрывается во мраке сказочных преданий. Обитатели Греции —арийские племена, которые переселялись из Европы в Азию. Первые поселенцы — пеласги и эллины.Эллины отличались от пеласгов воинственной предприимчивостью.Героический период заключает в себе мифы о героях. Герои — это полубожественные существа, стоящие на промежуточной ступени между богами и людьми. Чаще всего один из родителей героя был какой-нибудь бог.
Сведения о греческой мифологии дошли до нас в огромном количестве памятников письменной литературы — художественной и научной. Основными источниками изучения греческой мифологии являются "Илиада" и "Одиссея" Гомера.Миф у Гомера излагается как объективное явление.

P.S. Такой подойдет?
4,4(51 оценок)
Ответ:
Polikaza
Polikaza
26.11.2021
Начнём с того что во первых Финикийцы были отличными мореплавотелями потому что страна Финикия распологалась на побережье средеземного моря ,а это был встретиться торговыми судами и зароботать деньги . Во вторых у них не было хорошей почвы ,но у них росли оливковые деревья и виноград ,а как известно тогда это были диковенные растения ,а упустить этот шанс продать товар небудет денег поэтому они стороили коробли .в третьих они были славными разбойниками и грабили проплывающие неподалёку судна.                                                                       
существует легенда что после того как из Финикии изгнали одного раба по дороге он увидел горящий куст и раздался голос бога который сказал что им надо уплывать . он послушался построил корабля я переплы на ту сторону образовал новое государство которое ныне называется Сирия
4,6(45 оценок)
Это интересно:
Новые ответы от MOGZ: Математика
logo
Вход Регистрация
Что ты хочешь узнать?
Спроси Mozg
Открыть лучший ответ