
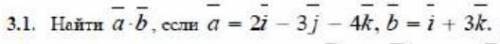
1 1/3 часть
2 16 мальчиков
3 3/10 часть
4 4/7 часть
5 на 10 орехов
Объяснение
1) 4/2+4+6=1/3
2+4+6/4 потому что 2 груши+4 яблока+6 сливы / 4 яблока
2) 32*3/4*2/3=16 мальчика
3) 12/10+12+18=3/10 нуу тут как в первом
4) сено берём как 1 и делим на 7 умножаем на 4 получается
1*4/7=4/7
5)Тамара Анна Настя
40 30 20
40-1/4 30-1/6 20+5+10
30 25 35
40*1/4=10 30*1/6=5 20+10+5=35
30-5=25 35-25=10
поставьте и 5 звёзд и сделайте этот ответ лучшим если ответ понадобился мне не хватает немножко
Смотреть решение
Пошаговое объяснение
Допустим кольцо находящиеся на верёвке длиной 8 м ,которое свободно передвигается от 1 колышка до 2 колышка,зафиксировано по середине верёвки. Если кольцо не двигается ,то соответственно коза пойдёт по траектории окружности и по итогу получим ,что съест траву по фигуре напоминающий полукруг,а поэтому верёвке привязанная к козе и есть радиус этой окружности.
Далее,пусть коза будет в точке А и перемещая веревку так,чтобы верёвка была всегда перпендикулярна верёвке натянутая между соседних колышек - мы получаем ,что образуется фигура - прямоугольник.
Затем,пусть коза окажется сдвинута до самого первого колышка и будет свободного перемещаться,но не двигая кольцо. В итоге получим четверть круга,так как еще одна четверть съедено до этого.
Теперь также переместим козу до второго колышка и также образуется четверть круга.
Поэтому получаем полуовал. А если коза перепрыгнет верёвку между колышек,то получится такой же полуовал. Поэтому ответ: Овал