Вход
Регистрация
Спроси Mozg AI
М
Молодежь
К
Компьютеры-и-электроника
Д
Дом-и-сад
С
Стиль-и-уход-за-собой
П
Праздники-и-традиции
Т
Транспорт
П
Путешествия
С
Семейная-жизнь
Ф
Философия-и-религия
Б
Без категории
М
Мир-работы
Х
Хобби-и-рукоделие
И
Искусство-и-развлечения
В
Взаимоотношения
З
Здоровье
К
Кулинария-и-гостеприимство
Ф
Финансы-и-бизнес
П
Питомцы-и-животные
О
Образование
О
Образование-и-коммуникации
.....больше.....
..меньше..
aselja228
02.10.2021 02:40 •
Математика
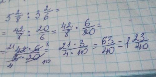
Пять целых две восьмых разделить три целых две шестых
👇
Увидеть ответ
Ответ:
Ксенечка4
02.10.2021
Смотри решение на фото..
4,4
(65 оценок)
Открыть все ответы
Ответ:
альона44в311234
02.10.2021
Пять-ю (2 слога, ударение на 1-м слоге) Пятью пять – двадцать пять. [п’а´т’й’у]
п – [п’] – согласный, глухой/парный, мягкий/парный
я – [а´] – гласный, ударный
т – [т’] – согласный, глухой/парный, мягкий/парный
ь – [–]
ю – [й’] – согласный, звонкий/непарный, мягкий/непарный
[у] – гласный, безударный
5б.5зв.
трёх (1 слог) [т’р’о´х]
т – [т’] – согласный, глухой/парный, мягкий/парный (ассимиляция по мягкости)
р – [р’] – согласный, звонкий/непарный, мягкий/парный
ё – [о´] – гласный, ударный
х – [х] – согласный, глухой/непарный, твёрдый/парный
6б.5зв.
юб-ка (2 слога, ударение на 1-м слоге) [й’у´пка] ю – [й’] – согл., звонк./непарн., мягк./непарн. [у´] – гласн., ударн. б – [п] – согл., глух./парн., твёрд./парн. к – [к] – согл., глух./парн., твёрд./парн. а – [а] – гласн., безуд. 4б.5зв.
я-мо-чка (3 слога, ударение на 1-м слоге) [й’а´мач’ка]
я – [й’] – согласный, звонкий/непарный, мягкий/непарный
[а´] – гласный, ударный
м – [м] – согласный, звонкий/непарный, твёрдый/парный
о – [а] – гласный, безударный
ч – [ч’] – согласный, глухой/непарный, мягкий/непарный
к – [к] – согласный, глухой/парный, твёрдый/парный
а – [а] – гласный, безударный
6б.7зв.
ши-ро-кий (3 слога, ударение на 2-м слоге) [шыро´кий’] ш – [ш] – согласный, глухой/парный, твёрдый/непарный и – [ы] – гласный, безударный р – [р] – согласный, звонкий/непарный, твёрдый/парный о – [о´] – гласный, ударный к – [к’] – согласный, глухой/парный, мягкий/парный и – [и] – гласный, безударный й – [й’] – согласный, звонкий/непарный, мягкий/непарный 7б.7зв. чу-де-сный (3 слога, ударение на 2-м слоге) [ч’удэ´сный’] ч – [ч’] – согласный, глухой/непарный, мягкий/непарный у – [у] – гласный, безударный д – [д’] – согласный, звонкий/парный, мягкий/парный е – [э´] – гласный, ударный с – [с] – согласный, глухой/парный, твёрдый/парный н – [н] – согласный, звонкий/непарный, твёрдый/парный ы – [ы] – гласный, безударный й – [й’] – согласный, звонкий/непарный, мягкий/непарный 8б.8зв. то-поль (2 слога, ударение на 1-м слоге) [то´пал’] т – [т] – согл., глух./парн., твёрд./парн. о – [о´] – гласн., ударн. п – [п] – согл., глух./парн., твёрд./парн. о – [а] – гласн., безуд. л – [л’] – согл., звонк./непарн., мягк./парн. ь – [–] 6б.5зв. тишь (1 слог) [т’и´ш] т – [т’] – согл., глух./парн., мягк./парн. и – [и´] – гласн., ударн. ш – [ш] – согласн., глух./парн., твёрд./непарн. ь – [–] 6б.5зв.
4,4
(19 оценок)
Ответ:
raremani
02.10.2021
Пять-ю (2 слога, ударение на 1-м слоге) Пятью пять – двадцать пять. [п’а´т’й’у]
п – [п’] – согласный, глухой/парный, мягкий/парный
я – [а´] – гласный, ударный
т – [т’] – согласный, глухой/парный, мягкий/парный
ь – [–]
ю – [й’] – согласный, звонкий/непарный, мягкий/непарный
[у] – гласный, безударный
5б.5зв.
трёх (1 слог) [т’р’о´х]
т – [т’] – согласный, глухой/парный, мягкий/парный (ассимиляция по мягкости)
р – [р’] – согласный, звонкий/непарный, мягкий/парный
ё – [о´] – гласный, ударный
х – [х] – согласный, глухой/непарный, твёрдый/парный
6б.5зв.
юб-ка (2 слога, ударение на 1-м слоге) [й’у´пка] ю – [й’] – согл., звонк./непарн., мягк./непарн. [у´] – гласн., ударн. б – [п] – согл., глух./парн., твёрд./парн. к – [к] – согл., глух./парн., твёрд./парн. а – [а] – гласн., безуд. 4б.5зв.
я-мо-чка (3 слога, ударение на 1-м слоге) [й’а´мач’ка]
я – [й’] – согласный, звонкий/непарный, мягкий/непарный
[а´] – гласный, ударный
м – [м] – согласный, звонкий/непарный, твёрдый/парный
о – [а] – гласный, безударный
ч – [ч’] – согласный, глухой/непарный, мягкий/непарный
к – [к] – согласный, глухой/парный, твёрдый/парный
а – [а] – гласный, безударный
6б.7зв.
ши-ро-кий (3 слога, ударение на 2-м слоге) [шыро´кий’] ш – [ш] – согласный, глухой/парный, твёрдый/непарный и – [ы] – гласный, безударный р – [р] – согласный, звонкий/непарный, твёрдый/парный о – [о´] – гласный, ударный к – [к’] – согласный, глухой/парный, мягкий/парный и – [и] – гласный, безударный й – [й’] – согласный, звонкий/непарный, мягкий/непарный 7б.7зв. чу-де-сный (3 слога, ударение на 2-м слоге) [ч’удэ´сный’] ч – [ч’] – согласный, глухой/непарный, мягкий/непарный у – [у] – гласный, безударный д – [д’] – согласный, звонкий/парный, мягкий/парный е – [э´] – гласный, ударный с – [с] – согласный, глухой/парный, твёрдый/парный н – [н] – согласный, звонкий/непарный, твёрдый/парный ы – [ы] – гласный, безударный й – [й’] – согласный, звонкий/непарный, мягкий/непарный 8б.8зв. то-поль (2 слога, ударение на 1-м слоге) [то´пал’] т – [т] – согл., глух./парн., твёрд./парн. о – [о´] – гласн., ударн. п – [п] – согл., глух./парн., твёрд./парн. о – [а] – гласн., безуд. л – [л’] – согл., звонк./непарн., мягк./парн. ь – [–] 6б.5зв. тишь (1 слог) [т’и´ш] т – [т’] – согл., глух./парн., мягк./парн. и – [и´] – гласн., ударн. ш – [ш] – согласн., глух./парн., твёрд./непарн. ь – [–] 6б.5зв.
4,7
(65 оценок)
Это интересно:
К
Компьютеры-и-электроника
01.08.2020
Как закрывать приложения на iPhone, iPad и iPod Touch: инструкция для начинающих...
С
Семейная-жизнь
02.02.2020
Как показать почтение умершему знакомому...
К
Кулинария-и-гостеприимство
24.10.2021
Как законсервировать томатный соус...
03.04.2021
Как вернуть бывшего парня (для девушек-подростков)...
М
Мир-работы
29.12.2021
Как успешно пройти тестирование при приеме на работу...
К
Компьютеры-и-электроника
29.01.2023
О преобразовании файлов ODT в DOC и почему это важно...
Д
Дом-и-сад
16.05.2021
Как избавиться от пятен после постельных клопов...
М
Мир-работы
22.03.2022
Как эффективно управлять складом: польза и преимущества...
П
Питомцы-и-животные
11.03.2022
Хочу хомяка! Как убедить родителей купить домашнего питомца...
К
Компьютеры-и-электроника
23.05.2020
Как удалить файлы Только для чтения без проблем...
Новые ответы от MOGZ: Математика
Mara1111176
27.10.2020
3.раскройте скобки и подобные слагаемые (5,3а + 2,2b) - (3,7b – 1,8а) + (1,9b – 8,1а)...
zwitterlord2
22.04.2020
0,(5) 0,6(45) переведите с десятичной дроби в обычную...
pawlomogischoxigx1
15.01.2021
Укажите рисунок, на котором изображён многоугольник, симметричный многоугольнику abcde относительно точки d....
name64
05.05.2023
100 ! решите ! только решение можно....
Arinakap22
04.03.2022
C) 0,(5) d) 0,6(45)переведите с десятичной дроби в обычную ...
Grizzly23
26.04.2023
Пожвлуйста не можем сделать номера 1,2,3,4,5,6...
gal12
04.09.2022
Как надо решить этот интеграл...
Miratovich
27.05.2022
Замените выражение -0,3b корень из 2200b арифметическим квадратным корнем или выражением противоположным арифметическому квадратному корню...
ValeriaSalvatore
19.09.2020
Реши по действиям магазин продал маркеры и ручки по одинаковой цене.за маркеры магазин получил 1680 тенге, а за ручки 910 тенге. сколько маркеров и ручек было продано...
София6451
09.05.2023
Размеры куска туалетного мыла 8 см, 4 см и 2 см. при использовании мыла,его объем ежедневно уменьшается на 4 см³. на сколько дней хватит кусок мыла?...
MOGZ ответил
Задайте вопросы по хотябы по если не можете. около 6-10 можно больше...
Колокол действует на подвес с силой 4900н.определите массу колокола...
Основание пирамиды - равнобедренный треугольник, основание которого...
Назвать одним словом выражение сваленные горкой вещи...
Скласти каламбур, використовуючи слова: роман - роман...
Проверочные слова слов: отварить,отворить,отопить,отселить,...
Что такое свободная торговля и каковы ее основные эссе !...
Провідміняйте за відмінками 673 кілометри...
Найдите производную функции: а) y = 3sinx + ctgx б) y = tgx - cosx...
Распределение электронов по энергетическим уровням в атоме лития:...
Полный доступ к MOGZ
Живи умнее Безлимитный доступ к MOGZ
Оформи подписку
О НАС
О нас
Блог
Условия пользования
Авторское право
Политика конфиденциальности
Предпочтения cookie-файлов
ПОМОЩЬ
Зарегистрируйся
Центр помощи
Центр безопасности
App
Вход
Регистрация
Что ты хочешь узнать?
Спроси Mozg
Открыть лучший ответ
×
Смотри решение на фото..