М
Молодежь
К
Компьютеры-и-электроника
Д
Дом-и-сад
С
Стиль-и-уход-за-собой
П
Праздники-и-традиции
Т
Транспорт
П
Путешествия
С
Семейная-жизнь
Ф
Философия-и-религия
Б
Без категории
М
Мир-работы
Х
Хобби-и-рукоделие
И
Искусство-и-развлечения
В
Взаимоотношения
З
Здоровье
К
Кулинария-и-гостеприимство
Ф
Финансы-и-бизнес
П
Питомцы-и-животные
О
Образование
О
Образование-и-коммуникации
79268888397p06sqw
79268888397p06sqw
24.09.2020 11:24 •  Математика

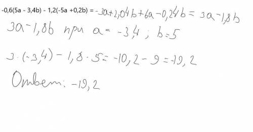
2. Упростите и найдите значение выражения при а = - 3,4 b = 5: -0,6(5а - 3,4b) - 1,2(-5а +0,2b) =

👇
Ответ:
Derar
Derar
24.09.2020

Вроде бы так простить за кривизну.


2. Упростите и найдите значение выражения при а = - 3,4 b = 5: -0,6(5а - 3,4b) - 1,2(-5а +0,2b) =
4,7(7 оценок)
Ответ:
aida04gmailcom
aida04gmailcom
24.09.2020

-0,6(5а - 3,4b) - 1,2(-5а +0,2b) = -0,6 * 5a - 0,6 * (-3,4b) - 1,2 * (-5a) - 1,2 * 0,2b = -3a + 2,04b + 6a - 0,24b = 3a + 1,8b.

Приведем подобные слагаемые:

1) с буквой a > -3a + 6a = 3a.

2) с буквой b > 2,04b - 0,24b = 1,8b.

Подставим значения ---> а = - 3,4 b = 5:

3a + 1,8b = 3 * (-3,4) + 1,8 * 5 = -10,2 + 9 = -1.2

ответ: -1,2.

4,6(58 оценок)
Открыть все ответы
Ответ:
Чиангл
Чиангл
24.09.2020
      1        3         2      4     5      7       6
(305 * 380 - 18512 : 89) : 12 * 100 - 847 * 407 =  619371

1)      305
     ×    380
 
        2440
    +  915
 
       115900
2)    18512 |   89   
     - 178      208
     
           712
        -  712
     
               0
3)     115900
     -       208
       
        115692
4)      115692 |    12   
     -   108        9641
         
             76
          -  72
       
               49
           -   48
           
                 12
             -   12
         
                    0
 5)      9641
       ×       100

          964100
6)     847
     × 407

       5929
 +3388
 
   344729
7)             964100
          -     344729
           
                619371
4,7(4 оценок)
Ответ:
prozorovamary23
prozorovamary23
24.09.2020
Сходство. в обоих случаях дитя, развратясь, смыслось. различие. в притче отец морально должного быть отвергаемым сына прощает, принимает, приближает к себе. в повести дочь морально должного быть приемлемым отца стыдится, отвергает, отсылает от себя. то есть с точностью до наоборот. что может говорить о принципиальной испорченности общества, о котором пишет пушкин. о его полном противостоянии /противоречии с христианской морал (и/ью) /нравственност (и/ью) . кстати, обратите внимание на антонимическуцю точность всех параллелей даже не только героев (сын - дочь, дитя - отец) , но и их реакций и ситуативных элементов. это свидетельствует об осознанных расчётах автора/асп при создании произведения/текста. с именно названной выше целью/идеей (впрочем, и с тысячью других, среди которых гонорар занимал далеко не последнее место) .
4,7(76 оценок)
Это интересно:
Новые ответы от MOGZ: Математика
logo
Вход Регистрация
Что ты хочешь узнать?
Спроси Mozg
Открыть лучший ответ