
Пошаговое объяснение:
Приведите дроби 3/4; 4/6; 1/9; 3/18 к знаменателю 36.
27/36; 24/36; 4/36; 6/36
Ви відповіли правильно
Питання №2
/ a
Среди дробей 1/2; 2/3; 5/6; 3/7; 5/8; 9/11; 7/18; 9/24; 7/38 укажите такие, которые можно привести к знаменателю 72, умножив числитель и знаменатель дроби на целое число:
1/2; 2/3; 5/6; 5/8; 7/18; 9/24
Ви відповіли правильно
Питання №3
/ a
Приведите к наименьшему общему знаменателю дроби 3/8 и 4/15.
45/120 и 32/120
Ви відповіли правильно
Питання №4
/ a
Сравните дроби 7/9 и 8/11.
7/9>8/11
Ви відповіли правильно
Питання №5
/ ів
Укажите дробь, которая больше 1/4 и имеет знаменатель 16.
5/16
Ви відповіли правильно
Питання №6
/ ів
Расставьте в порядке возрастания числа 4/9; 1/4; 7/12; 13/18.
1/4; 4/9; 7/12; 13/18
Ви відповіли правильно
Питання №7
/ ів
Какие из дробей 3/7; 11/28; 1/2; 13/42; 23/70 больше дроби 5/14?
3/7; 11/28; 1/2
Ви відповіли правильно
Питання №8
/ ів
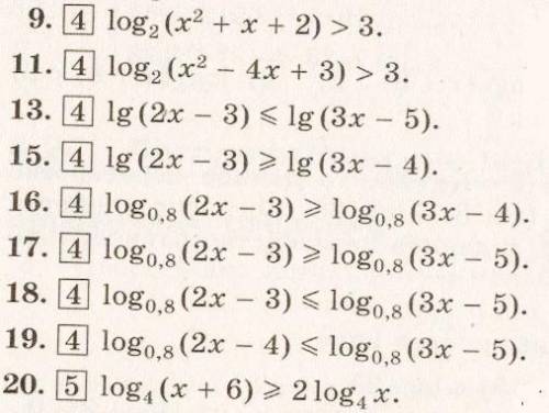
Найдите все натуральные значения x, при которых правильно неравенство
7;8;9;
Ви відповіли правильно
Пошаговое объяснение:
Log2(x^2+x+2)=3. Здесь основание 2. Двойку возведем в третью степень, тогда получается след. уравнение:. х^2+х+2=8
х^2+х-6=0
D=1+24=25
x1=(-1+5)/2=2
x2=(-1-5)/2=-3
Log2x=2
x=1