М
Молодежь
К
Компьютеры-и-электроника
Д
Дом-и-сад
С
Стиль-и-уход-за-собой
П
Праздники-и-традиции
Т
Транспорт
П
Путешествия
С
Семейная-жизнь
Ф
Философия-и-религия
Б
Без категории
М
Мир-работы
Х
Хобби-и-рукоделие
И
Искусство-и-развлечения
В
Взаимоотношения
З
Здоровье
К
Кулинария-и-гостеприимство
Ф
Финансы-и-бизнес
П
Питомцы-и-животные
О
Образование
О
Образование-и-коммуникации
kopechenkina
kopechenkina
28.03.2020 17:07 •  Математика

Решите уравнение lg^2)x+4lg(10x)=1

👇
Ответ:
foton228
foton228
28.03.2020

x_{1} = 0.001 \\ x_{2} = 0.1

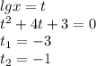
ОДЗ: х>0

{lg}^{2} x + 4 \times lg(10 \times x) = 1 \\ {lg}^{2} x + 4 \times (lg10 + lgx) = 1 \\ {lg}^{2} x + 4 \times (1 + lgx) = 1 \\ {lg}^{2} x + 4lgx + 3 = 0

- показательное квадратное уравнение, замена переменной:

lgx = t \\ {t}^{2} + 4t + 3 = 0 \\ t_{1} = - 3 \\ t_{2} = - 1

обратная замена:

t_{1} = - 3 \\ lgx = - 3 \\ log_{10}x = - 3 \\ x = {10}^{ - 3} \\ x = \frac{1}{1000} \\ x = 0.001

t_{2} = - 1 \\lgx = - 1 \\ log_{10}x = - 1 \\ x = {10}^{ - 1} \\ x = \frac{1}{10} \\ x = 0.1

4,8(19 оценок)
Открыть все ответы
Ответ:
valeriy3fors
valeriy3fors
28.03.2020

ответ:Определим длину окружности при различных размерах радиуса по формуле С - длина окружности с радиусом r, п = 3,14, тогда получим:

1. Если радиус равен 24 см, тогда:

С = 2 * 3,14 * 24 см = 6,28 * 24 см = 150,72 см.

2. Если радиус равен 4,7 дм, тогда:

С = 2 * 3,14 * 4,7 дм = 6,28 * 4,7 дм = 29,516 дм.

3. Если радиус равен 18,5 м, тогда:

С = 2 * 3,14 * 18,5 м = 6,28 * 18,5 м = 116,18 м.

ответ: в итоге получили, что окружность при радиусе 24 см будет равна 150,72 см; при радиусе, равном 4,7 дм длина окружности составит 29,516 дм, а при радиусе, равном 18,5 м, длина окружности будет составлять 116,18 м.

Пошаговое объяснение:

4,4(27 оценок)
Ответ:
keue435436
keue435436
28.03.2020

ответ:Определим длину окружности при различных размерах радиуса по формуле С - длина окружности с радиусом r, п = 3,14, тогда получим:

1. Если радиус равен 24 см, тогда:

С = 2 * 3,14 * 24 см = 6,28 * 24 см = 150,72 см.

2. Если радиус равен 4,7 дм, тогда:

С = 2 * 3,14 * 4,7 дм = 6,28 * 4,7 дм = 29,516 дм.

3. Если радиус равен 18,5 м, тогда:

С = 2 * 3,14 * 18,5 м = 6,28 * 18,5 м = 116,18 м.

ответ: в итоге получили, что окружность при радиусе 24 см будет равна 150,72 см; при радиусе, равном 4,7 дм длина окружности составит 29,516 дм, а при радиусе, равном 18,5 м, длина окружности будет составлять 116,18 м.

Пошаговое объяснение:

4,6(69 оценок)
Новые ответы от MOGZ: Математика
logo
Вход Регистрация
Что ты хочешь узнать?
Спроси Mozg
Открыть лучший ответ