Мы с родителями ехали на дачу, когда в вагон вошли 2 девушки и начали продавать книги о единственном правильном Боге со сложным именем которое я не запомнил Они долго приставали к пассажирам и даже угрожали всем, кто не купит книги, что их Бог нашлет на них страшные болезни. Рядом с нами сидела старушка , которая называла их безбожниками и говорила, что всех иноверцев надо посадить в тюрьму. А старичок в конце вагона закричал, что все верующие обманывают людей и их надо всех поместить в больницу для психических больных. Я не понял, кто же из них прав Илюше написать ответ другу. Вася, я думаю, что никто из них не прав. Они нарушают общечеловеческое правилочто бог дл всех един. Ты правильно сделал что не стал ни с кем спорить, потому что для каждого человека воя вера и своё мнение об этом
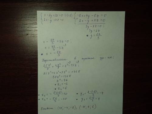
Полное условие см. в приложении.
№1.
(4,4 - 0,63 : 1,8) * 0,8 = 3,24
1) 0,63 : 1,8 = 0,35
2) 4,4 - 0,35 = 4,05
3) 4,05 * 0,8 = 3,24
№2.
1) 48 * 0,6 = 28,8 км - проехал по грунтовой дороге
2) 93,6 - 28,8 = 64,6 км - проехал по асфальту
3) 64,8 : 0,9 = 72 км/ч скорость по асфальту
ответ: по асфальтированной дороге автомобиль двигался со скоростью 72 км/ч.
№3.
3,23х + 0,97х + 0.74 = 2 7,8х - 4,6х + 0,8 = 12
4,2х + 0,74 = 2 3,2х + 0,8 = 12
4,2х = 2 - 0,74 3,2х = 12 - 0,8
4,2х = 1, 26 3,2 х = 11,2
х = 1,26 : 4,2 х = 11,2 : 3,2
х = 0,3 х = 3,5
№4.
см - длина
см - высота
V = a * b * h
см³ - объём параллелепипеда.
№5.






=============================






№6.
1) 2,8 * 6 = 16,8 - сумма шести чисел
2) 1,3 * 4 = 5,2 - сумма четырёх чисел
3) 6 + 4 = 10 чисел - всего
4) 16,8 + 5,2 = 22 - сумма всех десяти чисел
5) 22 : 10 = 2,2 - среднее арифметическое этих десяти чисел.
Пошаговое объяснение: