
Пошаговое объяснение:
1)
6/12 = 8/16
1/2 = 1/2
6 * 16 = 12 * 8
96 = 96
Пропорция верная
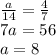
2.
а/14 = 4/7
а = 14 * 4 / 7
а = 56/7
а = 8
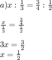
А)
х : 1/3 = 3/4 : 1/2
х = 1/3 * 3/4 : 1/2
х = 3/12 : 1/2
х = 3/12 * 2/1
х = 6/12
х = 1/2
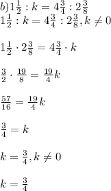
Б)
1. 1/2 : к = 4. 3/4 : 2. 3/8
4. 3/4 * к = 2. 3/8 * 1. 1/2
19/4к = 19/8 * 3/2
19/4к = 57/16
к = 57/16 : 19/4
к = 57/16 * 4/19
к = 3/4 * 1/1
к = 3/4
№2.