М
Молодежь
К
Компьютеры-и-электроника
Д
Дом-и-сад
С
Стиль-и-уход-за-собой
П
Праздники-и-традиции
Т
Транспорт
П
Путешествия
С
Семейная-жизнь
Ф
Философия-и-религия
Б
Без категории
М
Мир-работы
Х
Хобби-и-рукоделие
И
Искусство-и-развлечения
В
Взаимоотношения
З
Здоровье
К
Кулинария-и-гостеприимство
Ф
Финансы-и-бизнес
П
Питомцы-и-животные
О
Образование
О
Образование-и-коммуникации
falendadmitry
falendadmitry
29.03.2023 23:39 •  Математика

Одного разу хлопчик зважив собаку й кота. Виявилося, що маса со- баки на 6 кг більша від маси кота, а маса кота втричі менша за масу собаки. Яка маса собаки?

👇
Ответ:
Емсимася
Емсимася
29.03.2023

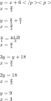
нехай маса кота x кг

тоді маса собаки y кг

y = x + 6

x = y/3

y = x + 6 \\ x = \frac{y}{3} \\ \\ y = \frac{y}{3} + \frac{6}{1} \\ x = \frac{y}{3} \\ \\ \frac{y}{1} = \frac{y + 18}{3} \\ x = \frac{y}{3} \\ \\ 3y = y + 18 \\ x = \frac{y}{3} \\ \\ 2y = 18 \\ x = \frac{y}{3} \\ \\ y = 9 \\ x = 3

маса кота – 3 кг

маса собаки – 9 кг

4,6(9 оценок)
Ответ:
Tanya20042017
Tanya20042017
29.03.2023
Маса кота-Хкг. Тоді маса собаки=3х. Різниця=6. Маємо рівняння:
3х-х=6
2х=6
Х=3
Маса кота=3кг. Тоді маса собаки=3+6=3*3=9кг
4,8(13 оценок)
Открыть все ответы
Ответ:
liliakolokol
liliakolokol
29.03.2023
В задаче используем рисунок  в приложении. Чтобы он был больше похож на план комнаты изобразим на нём дверь и окно.
Масштаб на планах (картах, чертежах) записывают тремя разными
1 - численный масштаб -  отношение размеров на плане и в действительности в одинаковых единицах длины.
Например: М = 1 : 100 - размеры на плане уменьшены в 100 раз. 
2 - именованный масштаб - указано отношение в разных единицах длины.
Например: В 1 см - 1 м. Здесь словами записано отношение = 1 см = 100 см.
3 - на больших картах используют линейный масштаб - небольшой отрезок линейки с дополнительными делениями и указанием размера единичного отрезка.
Нередко на планах  показывают ещё и направление сторон света - это удобно, например, на планах квартир - можно узнать на какую сторону выходят окна.
РЕШЕНИЕ
Размер клетки в тетради - 5 мм.но для более точных расчетов понадобится оцифрованная линейка (с делениями).
Измеряем размеры сторон прямоугольника в миллиметрах и умножаем на число обратное  масштабу - не делим на 1/100, у умножаем на 100. 
Длина  - 50 мм * 100 = 5000 мм = 500 см = 5 м - длина комнаты
Ширина - 30 мм *100 = 3 м - ширина комнаты.
Измерим ширину окна - 13 мм * 100 = 1300 мм = 130 см - окно.
Измерим ширину двери на плане - 9 мм * 100 = 900 мм - 90 см - дверь.
На рисунке 1.7 изображен план комнаты в масштабе 1: 100.найдите длину и ширину комнаты (картинки нет
4,4(56 оценок)
Ответ:
Даниад
Даниад
29.03.2023
В задаче используем рисунок  в приложении. Чтобы он был больше похож на план комнаты изобразим на нём дверь и окно.
Масштаб на планах (картах, чертежах) записывают тремя разными
1 - численный масштаб -  отношение размеров на плане и в действительности в одинаковых единицах длины.
Например: М = 1 : 100 - размеры на плане уменьшены в 100 раз. 
2 - именованный масштаб - указано отношение в разных единицах длины.
Например: В 1 см - 1 м. Здесь словами записано отношение = 1 см = 100 см.
3 - на больших картах используют линейный масштаб - небольшой отрезок линейки с дополнительными делениями и указанием размера единичного отрезка.
Нередко на планах  показывают ещё и направление сторон света - это удобно, например, на планах квартир - можно узнать на какую сторону выходят окна.
РЕШЕНИЕ
Размер клетки в тетради - 5 мм.но для более точных расчетов понадобится оцифрованная линейка (с делениями).
Измеряем размеры сторон прямоугольника в миллиметрах и умножаем на число обратное  масштабу - не делим на 1/100, у умножаем на 100. 
Длина  - 50 мм * 100 = 5000 мм = 500 см = 5 м - длина комнаты
Ширина - 30 мм *100 = 3 м - ширина комнаты.
Измерим ширину окна - 13 мм * 100 = 1300 мм = 130 см - окно.
Измерим ширину двери на плане - 9 мм * 100 = 900 мм - 90 см - дверь.
На рисунке 1.7 изображен план комнаты в масштабе 1: 100.найдите длину и ширину комнаты (картинки нет
4,4(40 оценок)
Это интересно:
Новые ответы от MOGZ: Математика
logo
Вход Регистрация
Что ты хочешь узнать?
Спроси Mozg
Открыть лучший ответ