
1) 15 км.
2) 135 км.
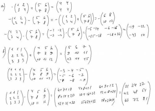
Пошаговое объяснение:
В этой задаче возможны два варианта:
1) либо автобус впереди.(В условии это не отмечено)
2) либо автобус едет сзади.
1) Пусть автобус впереди на расстоянии 75 км.
Скорость догона автомобилем равна разности скоростей
V догона = 80-65 = 15 км/час
Тогда за 4 часа расстояние между ними уменьшится до
75 - 15*4= 15 км.
2) Пусть автомобиль впереди на расстоянии 75 км
Скорость опережения также равна разности скоростей
V опережения = 80-65=15 км/час
Тогда за 4 часа расстояние между ними увеличится до
75+15*4= 135 км.
Пошаговое объяснение:
1) - 3x - 25 = -6x - 7
-3x + 6x = -7 + 25
3x = 18
x = 6
2) 5(3x - 1) - 6 = 4
15x - 5 - 6 = 4
15x = 4 + 5 + 6
15x = 15
x = 1
3) 9x + 2 = 4(5x - 3) - 8
9x + 2 = 20x - 12 -8
9x - 20x = -12 - 8 - 2
-11x = -22
x = 2
4) 4 - 2(6x - 5) = 6(4x + 3)
4 - 12x + 10 = 24x + 18
-12x - 24x = 18 - 4 - 10
-36x = 4
x = - 4/36 = - 1/9
5) 6(3x - 4) - 7(2x + 5) = 2x - 1
18x - 24 - 14x - 35 = 2x - 1
18x - 14x - 2x = -1 + 24 + 35
2x = 58
x = 29
6) 2,3(x - 0,3) + 0,5x = 2,8x
2,3x - 0,69 + 0,5x = 2,8x
2,3x + 0,5x - 2,8x = 0,69
0x = 0,69 ; корней нет.
7) 2(4x + 5) = 7x - 1
8x + 10 = 7x -1
8x - 7x = -1 - 10
x = -11
8) 7x - 12 = 4x + 9(2x - 3)
7x - 12 = 4x + 18x - 27
7x - 4x - 18x = -27+12
-15x = -15
x = 1
9) 47x - 7(4x - 3) = 4(5x - 2)
47x - 28x + 21 = 20x - 8
47x - 28x -20x = -8 - 21
-x = - 29
x = 29
10) 7x - 3(3x + 5) = 1 -4(4x - 3)
7x - 9x - 15 = 1 - 16x + 12
7x - 9x + 16x = 1 + 12 + 15
14x = 28
x= 2
11) 8(x - 2) + (3x - 3) = 11x - 19
8x - 16 + 3x - 3 = 11x - 19
8x + 3x - 11x = -19 + 16 + 3
11x - 11x = -19 + 19
0 = 0 ; решением уравнения является любое число.
Пошаговое объяснение: