
Всё в разделе "Объяснение".
Пошаговое объяснение:1) Возьмём обычный тетрадный лист в клетку.
Как нам известно, 1 см = 2 клетки, а 1 мм = 1 клетка.
А нам дан радиус окружности, равный 2 см 5 мм.
Значит 2 см 5 мм = 2 клетки + 2 клетки + 1 клетка + 1 клетка = 6 клеток.
Проводим отрезок, который равен 6 клеток. Этот отрезок - радиус окружности.
2) Берём циркуль, ставим его иголку на начало отрезка (который взят из 1) пункта), а карандаш циркуля ставим на конец отрезка. Теперь чертим окружность.
Пятиугольник - многоугольник, состоящий из 5 сторон и 5 углов.3) Отмечаем на окружности 5 точек, которые будут расположены на совершенно разных расстояниях друг от друга.
4) Соединяем эти точки по очереди и получаем пятиугольник.
Пошаговое объяснение:
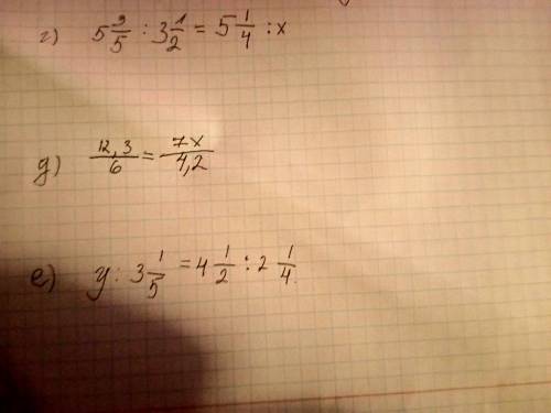
г) 1) 5 3/5 : 3 1/2 = 5 1/4 :х
28/5х= 7/2 * 21/4
28/5х= 147/8
х= 147/8 * 5/28
х= 735/224
х= 3 63/224
д) 12,3 /6= 7х/4,2
42х= 12,3 * 4,2
42х= 51,66
х= 51,66 :42
х= 1,23
е) у : 3 1/5= 4 1/2 : 2 1/4
2 1/4у= 3 1/5 * 4 1/2
9/4у= 14 2/5
у= 72/5 * 4/9
у= 32/5
у= 6 2/5