М
Молодежь
К
Компьютеры-и-электроника
Д
Дом-и-сад
С
Стиль-и-уход-за-собой
П
Праздники-и-традиции
Т
Транспорт
П
Путешествия
С
Семейная-жизнь
Ф
Философия-и-религия
Б
Без категории
М
Мир-работы
Х
Хобби-и-рукоделие
И
Искусство-и-развлечения
В
Взаимоотношения
З
Здоровье
К
Кулинария-и-гостеприимство
Ф
Финансы-и-бизнес
П
Питомцы-и-животные
О
Образование
О
Образование-и-коммуникации
dahasha0515ozg6qu
dahasha0515ozg6qu
25.12.2021 12:48 •  Математика

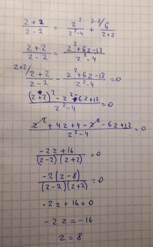
Z+2 разделить z-2=z^2 разделить z^2-4+6 разделить 2+z

👇
Ответ:
kermantanja
kermantanja
25.12.2021

Это в принципе легко, главное в знаках не запутаться


Z+2 разделить z-2=z^2 разделить z^2-4+6 разделить 2+z
4,4(12 оценок)
Открыть все ответы
Ответ:
betextinaanast1
betextinaanast1
25.12.2021

Бесікке салу — нәрестені алғаш бесікке бөлеу рәсімі. Бесікке саларға шақырылған ауыл-үйдің әйелдері шашуын, жол-жоралғысын ала келеді. Баланы алғашқы бөлеу үлгілі ұрпақ өсірген қадірменді әйелге тапсырылады. Ол өзінен басқа тағы бір-екі келіншектің көмегімен бесікті жабдықтайды, сәбидің әжесі не шешесі түбектің тесігінен балаларға тәтті үлестіреді. Осыдан кейін бесікті отпен аластап, баланы бөлейді. Бесікке салған әйелдерге көйлек, жаулық сияқты сый тартылады. Үлкендер батасын беріп, баланың ер жетуіне, ананың үбірлі-шүбірлі болуына тілектестік білдіреді. Және Бесік жыры айтылады:

Айыр қалпақ киісіп,

Ақырып жауға тиісіп,

Батыр болар ма екенсің?

Бармақтарың майысып,

Түрлі ою ойысып,

Шебер болар ма екенсің?

Таңдайларың тақылдап,

Сөзіңді жұрт мақұлдап,

Шешен болар ма екенсің?

Тағы бір нұсқасы:

Әлди-әлди ақ бөпем,

Ақ бесікке жат бөпем

Жылама, бөпем, жылама,

Жілік шағып берейін.

Байқұтанның құйрығын

Жіпке тағып берейін.[1

Пошаговое объяснение:

4,6(15 оценок)
Ответ:
ирина1229
ирина1229
25.12.2021
1.
Найдите x в пропорциях
1) 5/6 = 2x/3
2х = (3*5)/6 = 15/6
х = 15/(6*2) = 15/12 = 1 1/4
2) 4/9 = 8x/45
8х = (4*45)/9 = 180/9 = 20
х = 20/8 = 5/2 = 2 1/2
3) 5x/12 = 2/3
5х = (2*12)/3 = 24/3 = 8
х = 8/5 = 1 3/5
4) 6/7 = 10x/21
10х = (6*21)/7 = 126/7 = 18
х = 18/10 = 9/5 = 1 4/5
5) 8/9 = 4x/27
4х = (27*8)/9 = 216/9 = 24
х = 24/4 = 6
6) 27/5x = 9/16
5х = (27*16)/9 = 400/9
х = 400/9 : 5 = 80/9 = 8 8/9

2.
518,4 ц - 160%
х - 100 %
х = 518,4*100:160 = 324 ц - это план
518,4 - 324 = 194,4 - перевыполнение на бригаду
194,4 : 8 = 24,3 - на каждого рыбака
ответ: А
4,4(67 оценок)
Это интересно:
Новые ответы от MOGZ: Математика
logo
Вход Регистрация
Что ты хочешь узнать?
Спроси Mozg
Открыть лучший ответ