М
Молодежь
К
Компьютеры-и-электроника
Д
Дом-и-сад
С
Стиль-и-уход-за-собой
П
Праздники-и-традиции
Т
Транспорт
П
Путешествия
С
Семейная-жизнь
Ф
Философия-и-религия
Б
Без категории
М
Мир-работы
Х
Хобби-и-рукоделие
И
Искусство-и-развлечения
В
Взаимоотношения
З
Здоровье
К
Кулинария-и-гостеприимство
Ф
Финансы-и-бизнес
П
Питомцы-и-животные
О
Образование
О
Образование-и-коммуникации
poli148
poli148
13.07.2022 11:29 •  Математика

829.Найдите корни уравнений


829.Найдите корни уравнений

👇
Ответ:
gladkova2002d
gladkova2002d
13.07.2022

\frac{4x-3}{3-5x} =\frac{0,14}{0,35}

0,35(4x-3)=0,14(3-5x)

1,4x-1,05=0,42-0,7x

1,4x+0,7x=0,42+1,05

2,1x=1,47\\


x=1,47/2,1\\
x=0,7

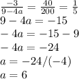
\frac{a-3,2}{2a+1,4} =\frac{0,9}{2,7} \\
2,7(a-3,2)=0,9(2a+1,4)\\
2,7a-8,64=1,8a+8,64\\
0,9a=9,9\\
a=9,9/0,9\\
a=11

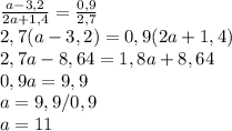
\frac{-3}{9-4a} =\frac{40}{200} =\frac{1}{5} \\
9-4a=-15\\
-4a=-15-9\\
-4a=-24\\
a=-24/(-4)\\
a=6

Пошаговое объяснение:

4,5(54 оценок)
Открыть все ответы
Ответ:
mamatatobaba10
mamatatobaba10
13.07.2022
Гуситские войны  — военные действия с участием последователей  яна гуса, а также между ними, в  богемии  (современная чехия), происходившие в период с  1419  по  1434  год. в этой войне, в отличие от всех предыдущих крупных вооружённых конфликтов на территории европы, широко использовалось ручное  огнестрельное оружие. гуситская пехота, состоявшая в основном из чешских добровольцев, нанесла множество поражений более крупным профессиональным армиям и тяжело вооружённых рыцарей , австрийских, венгерских, польских и итальянских феодалов. первоначально  гуситы  сплочённо воевали против католиков, организовавших на них серию крестовых походов, позднее их движение разделилось на умеренных («чашников»), примирившихся с католиками, и радикалов («таборитов»), потерпевших поражение.
4,4(59 оценок)
Ответ:
kuchatrupov47
kuchatrupov47
13.07.2022
Авсд  - равнобедренная трапеция, вс и ад ее основания. основание вс =  ав, угол асд = 90 градусов. так  как  ав = вс,  то тр-ник авс - равнобедренный, углы вас = вса как углы при основании. у  трапеции  основания папаллельны, лиагональ ас - является секущей, значит углы сад = вса как накрест лежашие. так  как  углы вас = вса  и    сад = вса,  то  вас  =  вса  =  сад. у  равнобедренной  трапеции  углы  при  основаниях  также  равны.  сумма  углов  трапеции равна 360 градусов. пусть  угол  вас = х, тогда угол вад = 2х. (2х  +  90 + х) * 2 = 360 6х  +  180 = 360 6х  =  180 х  =  30 углы  а  =  д = 30 * 2 = 60 углы  в = с = 90 + 30 = 120
4,6(2 оценок)
Это интересно:
Новые ответы от MOGZ: Математика
logo
Вход Регистрация
Что ты хочешь узнать?
Спроси Mozg
Открыть лучший ответ