М
Молодежь
К
Компьютеры-и-электроника
Д
Дом-и-сад
С
Стиль-и-уход-за-собой
П
Праздники-и-традиции
Т
Транспорт
П
Путешествия
С
Семейная-жизнь
Ф
Философия-и-религия
Б
Без категории
М
Мир-работы
Х
Хобби-и-рукоделие
И
Искусство-и-развлечения
В
Взаимоотношения
З
Здоровье
К
Кулинария-и-гостеприимство
Ф
Финансы-и-бизнес
П
Питомцы-и-животные
О
Образование
О
Образование-и-коммуникации
bondiserj
bondiserj
31.12.2020 15:36 •  Математика

РЕШИТЬ ЗАДАЧУ В первый день Эрика прочитала 32% всей книги, во второй 30% всей книги, а в третий - оставшиеся 76 страниц.

1) Сколько страниц в книге?
2) Сколько страниц прочитала Эрика в первый день и сколько - во второй?

👇
Ответ:
yasuga
yasuga
31.12.2020

ответ:это 100процентов правильно

Пошаговое объяснение:


РЕШИТЬ ЗАДАЧУ В первый день Эрика прочитала 32% всей книги, во второй 30% всей книги, а в третий - о
4,6(37 оценок)
Ответ:
Schoollolo
Schoollolo
31.12.2020

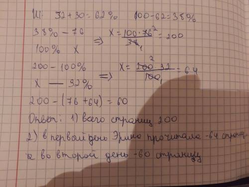
1) 100-30-32=38(%). - 76 страниц

2) 76:38*100=200(стр)- всего в книге

3)200:100*32=64(стр)- прочитано в первый день

4) 200:100*30=60(стр)-прочитано во второй день

ответ: Всего в книге 200 страниц, в первый день прочитано 64 страницы, во второй день прочитано 60 страниц

4,4(45 оценок)
Открыть все ответы
Ответ:
all271
all271
31.12.2020

преобразовываем  340 + ... + 120 = 460 + ....


в правом столбике есть                     460 + ...


то есть подставив одинаковые числа ( любые), получаем одинаковые значения.


360 - 120 + .... = 240 + .....    правый столбик  240 + ......


( вместо точек ставим одинаковые числа, получаем одинаковые значения)


360 - 120 - ... = 240 - ....    правый столбик  240 - .....


тоже вместо точек одинаковые числа (любое от 0 до 240)


.................................................................................................


больше нет выражений, преобразовав которые мы получим " правый столбик"



Соедини равные выражения. 37*6 60: 6+36: 6 8*(64+36) 180+42 96: 6 150+37 37+43+107 100*8 60: 6+24: 6
4,6(38 оценок)
Ответ:
sashaaaa5
sashaaaa5
31.12.2020
Починати потрібно тільки з однієї звички. Якщо ви візьметеся за кілька відразу - нічого не вийде. Наприклад, почніть бігати вранці. Протягом одного-двох тижнів намагайтеся закріпити цю звичку - через деякий час вона буде даватися вам легко. Потім можна приступати до наступної. Наприклад, прокидатися раніше. Якщо попередня звичка не закріпилася, то не потрібно братися за наступну. 2. Вироблення звички вимагає мотивації. Задайте собі питання, навіщо вам це потрібно? Чи поміняється ваше життя, якщо ви набудете певну звичку? Дайте відповідь на ці питання чесно, якщо необхідно, то запишіть ваші ідеї. 3. План впровадження необхідно розділити на невеликі частини і виконувати їх поступово. Так буде простіше домогтися результатів. Більше того, ви зможете бачити і контролювати свої успіхи. План повинен бути максимально конкретним. Наприклад, якщо ви вирішили вставати раніше, то потрібно увечері лягати раніше. Складіть розклад на ранок, щоб встигнути зробити більше. 4. Не варто себе перевантажувати. Якщо ви почали робити вправи, то задайте собі найбільш комфортне навантаження, а потім поступово збільшуйте кількість і складність вправ. Почавши відразу з великого навантаження, ви не тільки не зможете виробити гарну звичку, але й швидко втратите інтерес до зарядки. Для деяких буде важко тренуватися протягом навіть 5 хвилин в день. Але через якийсь час звичка почне поступово вкорінюватися. І можна буде збільшувати час вправ. 5. Необхідно пам'ятати, що головний ключ до отримання гарної звички - це регулярність виконання дій. Не варто вигадувати відмовки, відкладати задумане. Так ви ніколи не досягнете успіху. 6. Можна скласти розклад на вироблення хороших звичок. Заведіть спеціальний щоденник, куди будуть записані всі ваші плани. Вкажіть дні або місяці виконання. Коли одна звичка буде закріплена, викресліть її з плану і переходьте до наступної. 7. Пропуск одного дня - це не смертельно. Пропуск двох днів - серйозно, але теж не страшно. А от якщо ви пропустите три дні, відведених для закріплення звички, то всю роботу доведеться проробляти спочатку. Пам'ятайте про це. Не варто себе картати, просто почніть заново, адже кожен має право помилятися. Головне - не опускати руки. Рухайтеся далі, тоді ви зможете прийти до заповітної мети. 8. Навіть найменші поступки - це суттєвий удар по вашій копіткій роботі. Якщо ви вирішили кинути курити, то одна сигарета може привести до того, що ви знову зірветеся і закурите. Якщо ви вибрали правильне харчування, то невелика баночка кока-коли може зруйнувати всі ваші попередні досягнення. Не можна потурати маленьким слабкостям, інакше ви ніколи не зможете закріпити корисну звичку. 9. Однак не варто заганяти себе і перетворювати життя в сліпе виконання плану. У виробленні корисних звичок повинно бути щось позитивне. Робіть собі невеликі подарунки, які пов'язані з звичкою. Якщо ви вирішили бігати вранці, то чудовою винагородою стануть нові кросівки. Якщо ви вибрали письменницьке або журналістське ремесло, то купіть собі красиву ручку. Ці дрібниці повинні радувати вас, мотивувати до подальшої роботи. 10. Відзначайте свої щоденні успіхи. Записуйте, скільки часу ви сьогодні приділили виробленню звички. Якщо можливо, то записуйте і кількість вправ. Наприклад, скільки віджимань або присідань ви виконали за день. 11. Як вже було сказано, пропуск одного дня - це не злочин. При кропіткій роботі впродовж тижня можна влаштувати собі один вихідний. Головне, щоб відпочинок не заважав подальшій роботі над звичкою. Якщо ви весь тиждень харчувалися правильно, то не варто у вихідні пускатися у всі тяжкі. Але відпочивати все одно потрібно. Погуляйте з друзями, добре виспіться, поїдьте на природу. Це дасть вам сили для подальшої діяльності. 12. Для досягнення успіху потрібно отримувати задоволення від вашої роботи. Вироблення звички - це не каторга, яка необхідна для кращого життя. Вона вже є кращим життям. Тому ви повинні отримувати тільки позитивні емоції. Не варто зупинятися на звичці, якщо вона доставляє вам незручності, якщо ви важко переносите її вироблення. Здорова їжа теж може бути смачною, якщо ви надаєте значення її смаку. Яблуко може приносити задоволення. Фізичні вправи - це робота над своїм тілом. Відчуйте, як тіло наповнюється здоров'ям, як ростуть м'язи. Насолода звичкою - це безцінна нагорода. Вашою метою має стати сам шлях, як виробити звичку, а не кінцевий результат. І на завершення варто зазначити, скільки часу вам потрібно для закріплення нової звички. Тут вчені не можуть дати точної відповіді, деякі стверджують, що потрібен 21 день, інші кажуть, що 40 днів. Ця цифра є індивідуальною для кожного. Відчуйте, що говорить ваш організм. Якщо певна дія виконується автоматично, то звичка вже сформована. І кількість днів вже не має значення. Головне - це не зупинятися, поки звичка не стане дійсно звичною для вас
4,4(64 оценок)
Это интересно:
Новые ответы от MOGZ: Математика
logo
Вход Регистрация
Что ты хочешь узнать?
Спроси Mozg
Открыть лучший ответ