М
Молодежь
К
Компьютеры-и-электроника
Д
Дом-и-сад
С
Стиль-и-уход-за-собой
П
Праздники-и-традиции
Т
Транспорт
П
Путешествия
С
Семейная-жизнь
Ф
Философия-и-религия
Б
Без категории
М
Мир-работы
Х
Хобби-и-рукоделие
И
Искусство-и-развлечения
В
Взаимоотношения
З
Здоровье
К
Кулинария-и-гостеприимство
Ф
Финансы-и-бизнес
П
Питомцы-и-животные
О
Образование
О
Образование-и-коммуникации
wertyfaq
wertyfaq
06.08.2022 15:22 •  Математика

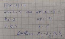
Реши уравнение: |4x + 1| = 3 .
.

👇
Ответ:
alina20041002
alina20041002
06.08.2022

Доброго времени суток.

Решение во вложении.


Реши уравнение: |4x + 1| = 3 . .
4,7(2 оценок)
Открыть все ответы
Ответ:
плаг
плаг
06.08.2022
Сәхәбәһе Емельян Пугачев; шағир-импровизатор (сэсэн).
Ҡасан Доға Юлаев " Бердск сарала предстать алдында Пугачевым, уға 19 йәш. Ошо көндән башлап тиклем арест, 25 ноябрь, 1774 йылдың (барлығы 1 йыл һәм 15 көн), ул һөргөндә үҙәгендә ҡайнай Крестьян һуғышы.

Был допрос Фатиха түгел ведал беркемде дә сығып, үҙ иптәштәр, беркемгә нагоева. Һуң оҙаҡ тикшереү Уфала, Ҡаҙанда, Мәскәүҙә, Оренбург һәм тағы ла Уфала ҡарары буйынса 15-се июлдә 1775 йылғы Юлаев Свердловск әтәсе менән бергә Юлайым Аҙналина ине көсәйтелергә язаға кнутом һәм клеймение кеүек "тәсәйем дәүләт ойоштороусыларға".

Уның шигырьләре призыва халыҡ менән көрәшкә угнетатель ("Көрәш", "Стрела", "Ноше-воин"), воспевали матурлығын, тыуған ер ("Тыуған ил", "Минең Урал", "Һандуғас"), мөхәббәт ("Зөләйха").
4,8(35 оценок)
Ответ:
Счacтье2005
Счacтье2005
06.08.2022
Правила безопасности в горах

Правила безопасности перед выходом из хижины, лагеря, населенного пункта

1. Выбранный маршрут должен соответствовать уровню подготовки и возможностям участников.
2. Тщательно изучить направление движения, имеющуюся маркировку, характер рельефа, трудности, опасности, источники воды, возможность схода с маршрута в случае необходимости.
3. Разработать график и определить порядок движения группы, что мобилизует и дисциплинирует людей.
4. Не начинать трудного продолжительного перехода и восхождения без предварительной подготовки и акклиматизации.
5. Перед выходом ознакомиться с прогнозом погоды на период движения по маршруту.
6. Не выходить на маршрут при явно неблагоприятных условиях: через 2—3 дня после обильного снегопада, в туман, при низкой температуре или сильно выраженной лавинной опасности.
7. Выходить в темное время только при хорошем знании маршрута, предстоящем долгом дневном переходе, а в плохую погоду — при работах.
8. Тщательно проверить экипировку, снаряжение и продукты питания, состояние здоровья участников, не брать на маршрут больных, чувствующих недомогание, не вполне поправившихся после болезни людей.
9. Всем участникам знать опасности и причины, ведущие к несчастью, уметь их своевременно обнаружить, не допускать самонадеянного подхода к опасностям, соблюдать правила безопасности.
10. Не предпринимать поход, восхождение или экспедицию без опытного, авторитетного руководителя, знающего маршрут, и без правильно заполненной и оформленной документации.
11. В незнакомой местности двигаться только по хорошо размеченному маршруту.
12. Выходить на маршрут рано утром, хорошо экипировавшись, имея достаточный запас продуктов и только после сообщений графика движения на пункт контрольно службы (ПКСС) , начальнику базы или другим лицам.
13. Принять необходимые меры к предохранению ног от ранений и переохлаждения.
14. Начинать движение лишь в исправных (прочных, просушенных) обуви, одежде, носках, рукавицах.

Правила безопасности при движении в горах

1. Передвижение должно быть не индивидуальным, а групповым, что позволит обеспечить взаимо участников на маршруте.
2. Не допускать разделения группы и нарушения дисциплины. Всякая отлучка возможна только с разрешения старшего.
3. Каждая группа, независимо от ее размера, должна иметь хорошо подготовленного руководителя, обладающего большим опытом и авторитетом.
4. Темп движения и остановки должны соответствовать уровню подготовленности и возможностям участников, условиям местности и погоды. Не допускать необоснованно высокой скорости.
5. Соблюдать правильный режим нагрузок, отдыха, питания, питьевой режим, принимать меры, обеспечивающие хорошую терморегуляцию организма.
6. Поддерживать в группе высокую дисциплину и чувство взаимо
7. Не допускать купания в горных озерах, где есть опасность утонуть или простудиться.
8. Не сокращать путь за счет безопасности (можно попасть в лавину, поскользнуться, упасть на камни) .
9. Избегать передвижения в ненастье, тумане, в темноте, поздно вечером. Основную часть дневного перехода совершать в утренние часы.
10. Избегать подъемов и спусков по склонам и желобам со свободно лежащими камнями.
11. Как уже было сказано, не идти в ночное время, кроме случаев работ, при опасности обморожения или с учебными целями.
12. Выбирать маршрут с учетом конкретных условий (структуры снежного покрова, состояния участников, погоды) , всегда предпочитая безопасный путь.
13. Большая маневренность группы и отдельных ее участников не должна достигаться за счет облегчения экипировки или уменьшения количества бивачного снаряжения и продуктов.
14. Не терять и не забывать вещи, чтобы в тот или иной момент не остаться без необходимого инвентаря и экипировки.
4,4(21 оценок)
Новые ответы от MOGZ: Математика
logo
Вход Регистрация
Что ты хочешь узнать?
Спроси Mozg
Открыть лучший ответ