М
Молодежь
К
Компьютеры-и-электроника
Д
Дом-и-сад
С
Стиль-и-уход-за-собой
П
Праздники-и-традиции
Т
Транспорт
П
Путешествия
С
Семейная-жизнь
Ф
Философия-и-религия
Б
Без категории
М
Мир-работы
Х
Хобби-и-рукоделие
И
Искусство-и-развлечения
В
Взаимоотношения
З
Здоровье
К
Кулинария-и-гостеприимство
Ф
Финансы-и-бизнес
П
Питомцы-и-животные
О
Образование
О
Образование-и-коммуникации
idkfndnf
idkfndnf
28.03.2022 00:52 •  Математика

Одна из сторон параллелограмма равна 16, другая равна 15, а косинус одного из углов равен корень из 7 деленный на 4 (√‎7/4). Найдите площадь параллелограмма

👇
Ответ:
Leonelle
Leonelle
28.03.2022

180 кв. ед.

Пошаговое объяснение:

Пусть  ABCD - параллелограмм.  АВ= 15, AD=16, ∠ А=α ,

\cos\alpha =\dfrac{\sqrt{7} }{4}

(косинус острого угла есть число положительное)

Площадь параллелограмма определяется по формуле

S=a\cdot b\cdot sin \alpha ,   где a,b- стороны параллелограмма, α - угол между ними.

Найдем синус угла, для этого воспользуемся основным тригонометрическим тождеством.

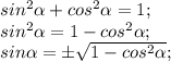
sin^{2} \alpha +cos^{2} \alpha =1;\\sin^{2} \alpha=1-cos^{2} \alpha ;\\sin\alpha =\pm\sqrt{1-cos^{2} \alpha } ;

Так как угол острый, то синус положительный. Тогда

sin\alpha =\sqrt{1-\left(\dfrac{\sqrt{7} }{4}\right)^{2} } =\sqrt{1-\dfrac{7}{16} } =\sqrt{\dfrac{16}{16} -\dfrac{7}{16} } =\sqrt{\dfrac{9}{16}} =\dfrac{3}{4}

Тогда найдем площадь параллелограмма

S=AB\cdot AD\cdot sin A;\\\\S=15\cdot16\cdot \dfrac{3}{4} =\dfrac{15\cdot16\cdot3}{4} =\dfrac{15\cdot4\cdot4 \cdot3}{4} =\dfrac{15\cdot4\cdot3}{1} =180

Значит, площадь параллелограмма равна 180 кв. ед.


Одна из сторон параллелограмма равна 16, другая равна 15, а косинус одного из углов равен корень из
4,6(44 оценок)
Открыть все ответы
Ответ:
liwan
liwan
28.03.2022

Автомобили встретятся на расстоянии 525 км от город А, 105км от города В, их встреча произойдёт через 7,5 ч после выезда второго.

Пошаговое объяснение:

1)70-50=20(км/ч)-скорость сближения

2)50*3=150(км)-расстояние между автомобилями к моменту выезда второго автомобиля

3)150/20=7,5(ч)-через это время после выезда второго автомобили встретятся

4)7,5*70=525(км)-расстояние от места встречи до города А

5)630-525=105(км)-расстояние от места встречи до города В

ответ: автомобили встретятся на расстоянии 525 км от город А, 105км от города В, их встреча произойдёт через 7,5 ч после выезда второго.

4,5(54 оценок)
Ответ:
exampllee1
exampllee1
28.03.2022

 а) Екі ауылдан бір мезгілде бір−біріне қарама−қарсы шыққан екі салт атты 3 сағаттан кейін кездесті. 1−жылд.12км/сағ, 2−жылд. 15км/сағ. Екі ауылдың арақашықтығын тап.

12км/сағ 3 сағ 15км/сағ




(12+15)×3=81 (км) – қашықтық

Ж:

ә) Арақашықтығы 81км кеі ауылдан бір мезгілде екі салт атты бір−біріне қарама−қарсы шығып, 3 сағаттан кейін кездесті. 1−жылд. 12км=сағ. 2−жылдамдықты тап.

12км/сағ 3 сағ ?км/сағ




81 км

81:3–12=15 (км/сағ) – екінші жылдамдық

Ж:

Б) Арақашықтығы 81км екі ауылдан бір мезгілде екі салт атты бір−біріне қарама−қарсы шықты. 1−жылд. 12км/сағ, ал екінші жылд. 15кмсағ. Олар неше сағаттан кейін кездесті?

81: (12+15)=3 (сағ)

4,4(31 оценок)
Новые ответы от MOGZ: Математика
logo
Вход Регистрация
Что ты хочешь узнать?
Спроси Mozg
Открыть лучший ответ