М
Молодежь
К
Компьютеры-и-электроника
Д
Дом-и-сад
С
Стиль-и-уход-за-собой
П
Праздники-и-традиции
Т
Транспорт
П
Путешествия
С
Семейная-жизнь
Ф
Философия-и-религия
Б
Без категории
М
Мир-работы
Х
Хобби-и-рукоделие
И
Искусство-и-развлечения
В
Взаимоотношения
З
Здоровье
К
Кулинария-и-гостеприимство
Ф
Финансы-и-бизнес
П
Питомцы-и-животные
О
Образование
О
Образование-и-коммуникации
memasov
memasov
10.03.2023 16:54 •  Математика

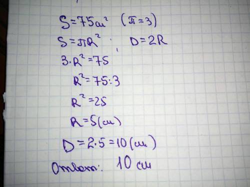
Найдите диаметр круга, если его площадь равна 75см2 (п≈3)
ЧЕРЕЗ 20 МИНУТ СДАВАТЬ УЖЕ

👇
Ответ:
Ali954
Ali954
10.03.2023

Пошаговое объяснение:

на фото


Найдите диаметр круга, если его площадь равна 75см2 (п≈3) ЧЕРЕЗ 20 МИНУТ СДАВАТЬ УЖЕ
4,6(87 оценок)
Ответ:
marina4010
marina4010
10.03.2023

10см

Пошаговое объяснение:


Найдите диаметр круга, если его площадь равна 75см2 (п≈3) ЧЕРЕЗ 20 МИНУТ СДАВАТЬ УЖЕ
4,8(43 оценок)
Открыть все ответы
Ответ:
Snihdsfg
Snihdsfg
10.03.2023

  Echtes Interesse an der Arbeit mit der neuen Medien haben Computer.Wer Computer beherrscht, hat heute gute Chansen auf dem Berufsmarkt. Das Internet und die neuen Medien eröffnen die besten Karrierenchansen: Viele Arbeitsstellen warten auf Programmierer, Web-Designer oder Electronic Manager. 
Der erste Computer wurde vom deutschen Ingenieur Konrad Zuse erfunden. 1936 wurde von ihm ein mechanisch arbeitender Rechner, der "Z 1" hiess, konstruiert. Und 1941 vollendete er das erste gesteuerte Rechengerät " Z3 ", das programmieren konnte. In den USA wurden von den Wissenschaftler unabhängig von Zuse - im 1943 immer leistungsfähigem Computer gebaut. Die ersten waren garagengross. Später wurden sie immer kleiner.

4,6(67 оценок)
Ответ:
Алька3105
Алька3105
10.03.2023

 

ЕСЛИ ЗАДАЧА ДЛЯ МЛАДШИХ КЛАССОВ, ТО ВЕСЬ ПУТЬ РАВЕН:

600+300+500=1400(фунтов)

                                             

                    север

 

                          Пятачок

                         |\

              500     |  \

                         |    \ 

              300     |      \   ? фунтов по прямой

                         |        \

                         |          \

          запад     <Винни

                           600

                             

                             юг

300+500=800(ф) - один катет, 600ф. - другой катет

 

с2=а2+в2 - теорема Пифагора

с2=800*800+600*600=640000+360000=1 000 000

с=√1 000 000=1000(фунтов)

 

4,5(77 оценок)
Это интересно:
Новые ответы от MOGZ: Математика
logo
Вход Регистрация
Что ты хочешь узнать?
Спроси Mozg
Открыть лучший ответ