М
Молодежь
К
Компьютеры-и-электроника
Д
Дом-и-сад
С
Стиль-и-уход-за-собой
П
Праздники-и-традиции
Т
Транспорт
П
Путешествия
С
Семейная-жизнь
Ф
Философия-и-религия
Б
Без категории
М
Мир-работы
Х
Хобби-и-рукоделие
И
Искусство-и-развлечения
В
Взаимоотношения
З
Здоровье
К
Кулинария-и-гостеприимство
Ф
Финансы-и-бизнес
П
Питомцы-и-животные
О
Образование
О
Образование-и-коммуникации
аня2938
аня2938
20.01.2023 12:42 •  Математика

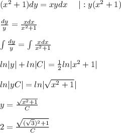
Найти частное решение дифференцированных уравнений уравнения (x^2+1)dy=xydx если y=2 при x=√3 как решить уже целый час мучаюсь

👇
Ответ:
mishustinat
mishustinat
20.01.2023
(x^2+1)dy=xydx\ \ \ \ |:y(x^2+1) \\ \\ \frac{dy}{y}=\frac{xdx}{x^2+1} \\ \\ \int\frac{dy}{y}=\int\frac{xdx}{x^2+1} \\ \\ ln|y|+ln|C|=\frac12ln|x^2+1| \\ \\ ln|yC|=ln|\sqrt{x^2+1}| \\ \\ y=\frac{\sqrt{x^2+1}}{C} \\ \\ 2=\frac{\sqrt{(\sqrt 3)^2+1}}{C}

C=1 \\ \\ y=\sqrt{x^2+1}
4,6(60 оценок)
Открыть все ответы
Ответ:
lizas7777
lizas7777
20.01.2023
 Песню зимнюю споём.
 Звук живой и сердца стук,
 Ни одной души вокруг.
 Только я и ты, родной,
 Не скупись, на радость пой.
 Ты притих, но почему,
 Слов не знаешь, я пойму.

 На стекле, из белых роз
 Сердце выковал мороз.
 Веет холодом оно,
 И любить не суждено.
 За признание поклон…
 Строгий и надёжный он,
 Обходительный такой,
 Ледяной сулит покой.

 Мягкий, чистый, погоди,
 Вмиг надену сапоги,
 И гулять пойду с тобой,
 Позовём снежинок рой,
 Пусть завидуют они,
 Это только наши дни.
 У зимы короткий срок,
 Наплевать нам на сорок.
4,4(31 оценок)
Ответ:
nicgames
nicgames
20.01.2023
 Песню зимнюю споём.
 Звук живой и сердца стук,
 Ни одной души вокруг.
 Только я и ты, родной,
 Не скупись, на радость пой.
 Ты притих, но почему,
 Слов не знаешь, я пойму.

 На стекле, из белых роз
 Сердце выковал мороз.
 Веет холодом оно,
 И любить не суждено.
 За признание поклон…
 Строгий и надёжный он,
 Обходительный такой,
 Ледяной сулит покой.

 Мягкий, чистый, погоди,
 Вмиг надену сапоги,
 И гулять пойду с тобой,
 Позовём снежинок рой,
 Пусть завидуют они,
 Это только наши дни.
 У зимы короткий срок,
 Наплевать нам на сорок.
4,6(7 оценок)
Это интересно:
Новые ответы от MOGZ: Математика
logo
Вход Регистрация
Что ты хочешь узнать?
Спроси Mozg
Открыть лучший ответ