М
Молодежь
К
Компьютеры-и-электроника
Д
Дом-и-сад
С
Стиль-и-уход-за-собой
П
Праздники-и-традиции
Т
Транспорт
П
Путешествия
С
Семейная-жизнь
Ф
Философия-и-религия
Б
Без категории
М
Мир-работы
Х
Хобби-и-рукоделие
И
Искусство-и-развлечения
В
Взаимоотношения
З
Здоровье
К
Кулинария-и-гостеприимство
Ф
Финансы-и-бизнес
П
Питомцы-и-животные
О
Образование
О
Образование-и-коммуникации
superbomber
superbomber
03.08.2021 10:05 •  Математика

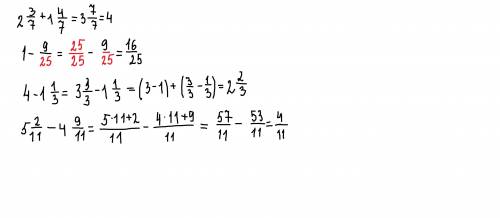
Чему равно значение выражения: 1) 2 3/7+1 4/7
2) 1-9/25
3) 4-1 1/3
4) 5 2/11-4 9/11
надо

👇
Ответ:
Оно8885858855
Оно8885858855
03.08.2021

ответ: 1) 3 4/7, 2) 16/25, 3) 1/3, 4) 4/11.

4,5(86 оценок)
Ответ:
vazirasharipovа
vazirasharipovа
03.08.2021

Пошаговое объяснение:

решение примеров внизу


Чему равно значение выражения: 1) 2 3/7+1 4/7 2) 1-9/25 3) 4-1 1/3 4) 5 2/11-4 9/11 надо
4,6(68 оценок)
Открыть все ответы
Ответ:
egoregorov5431
egoregorov5431
03.08.2021

Пошаговое объяснение:

а) Среднее арифметическое ряда чисел – это сумма данных чисел, поделенная на количество слагаемых. Среднее арифметическое называют средним значением числового ряда.

3, 8, 15, 30, __ , 24

Среднее арифметическое ряда равно 24

Пусть х пропущенное число.

(3 + 8 + 15 + 30 + х + 24) : 6 = 24

(80 + х) : 6= 24

80 + х = 24 * 6

80 + х = 144

х = 144 – 80

х = 64

(3 + 8 + 15 + 30 + 64 + 24) : 6 = 144 : 6 = 24

Пропущенное число в ряде 64.

b) Размах ряда чисел – это разность между наибольшим и наименьшим из этих чисел.

3, 8, 15, 30, __ , 24

Размах ряда равен 52.

Наибольшее число 30, наименьшее х.

Значит, пропущенное число равно:

30 – х = 52

х = 30 - 52

х = -22

Пропущенное число в ряде -22.

3, 8, 15, 30, __ , 24

Размах ряда равен 52.

Наименьшее число 3, наибольшее х.

Значит, пропущенное число равно:

х – 3 = 52

х = 52 + 3

х = 55

Пропущенное число в ряде: 55.

с) Мода ряда чисел – это число, которое встречается в данном ряду чаще других.

3, 8, 15, 30, __ , 24

Мода ряда равна 8.

3, 8, 15, 30, 8, 24

Пропущенное число в ряде 8.

4,8(25 оценок)
Ответ:
lemarakurtazhiv
lemarakurtazhiv
03.08.2021
#1
1) 700-124=576(т)осталось после первого раза
2)576-(124+203)=576-327=249(т) осталось на базе
ответ: 249 тонн.
#2
1) 95:5*3=57(км/ч) скорость товарного
2) (57+95)*13=1976(км) расстояние между городами
ответ: 1976 км.
#3
Пусть ширина-х, тогда длина-2х.
Составим уравнение.
2*(х+2х)=1140
6х=1140
х=190(м)-ширина
190*2=380(м)-длина
S=190*380=72200(кв.м)
72200:2=36100(кв.м)осталось убрать
ответ: 36100 кв.м.
#4
10b-5b+44=139
5b+44=139
5b=139-44=95
b=95:5=19
ответ:b=19
#5
Весь день=24 часа.
Пусть часть суток, тогда x+6-оставшаяся часть суток.
Составим уравнение:
x+x+6=24
2x+6=24
2x=18
x=9
часов с начала дня
ответ: 9 часов утра
4,6(50 оценок)
Это интересно:
Новые ответы от MOGZ: Математика
logo
Вход Регистрация
Что ты хочешь узнать?
Спроси Mozg
Открыть лучший ответ