М
Молодежь
К
Компьютеры-и-электроника
Д
Дом-и-сад
С
Стиль-и-уход-за-собой
П
Праздники-и-традиции
Т
Транспорт
П
Путешествия
С
Семейная-жизнь
Ф
Философия-и-религия
Б
Без категории
М
Мир-работы
Х
Хобби-и-рукоделие
И
Искусство-и-развлечения
В
Взаимоотношения
З
Здоровье
К
Кулинария-и-гостеприимство
Ф
Финансы-и-бизнес
П
Питомцы-и-животные
О
Образование
О
Образование-и-коммуникации
panda365
panda365
10.09.2022 23:38 •  Математика

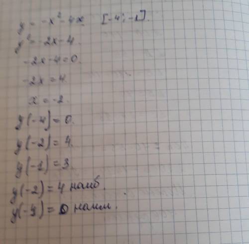
3. Найдите наибольшее и наименьшее значения функ ции у = -х² - 4х на отрезке [ -4 , -1 ] .

👇
Ответ:
Andriy1208
Andriy1208
10.09.2022

Пошаговое объяснение:

см фото


3. Найдите наибольшее и наименьшее значения функ ции у = -х² - 4х на отрезке [ -4 , -1 ] .
4,8(78 оценок)
Открыть все ответы
Ответ:
LOLO223
LOLO223
10.09.2022
Ах+ву+с=0 общее уравнение прямой, если прямая проходит через точку М, то её координаты удовлетворяют уравнению прямой, получаем систему уравнений  -4а+6в+с=0
                               2а-в+с=0, второе уравнение умножим на 2 и сложим с первым уравнением  -4а+6в+с=0
                                  4а-2в+2с=0,4в=-3с, в=-3с/4
Второе уравнение умножим на6 и сложим с первым  -4а+6в+с=0
                                                                                  12а-6в+6с=0,   8а=-7с,а=-7с/8 В общее уравнение вместо а и в подставляем что получили
-7/8сх-3/4су+с=0,делим все на с,-7/8х-3/4у+1=0, можно все умножить на -8,
7х+6у+8=0 уравнение прямой М1М2
выразим у через х,у=-7/6х-4/3, угловой коэффициент равен -7/6
4,4(43 оценок)
Ответ:
mihailgrand
mihailgrand
10.09.2022
Положим что данное выражение равно s(n) , и преобразуем s(n)=2^(2^n)+2^(2^(n-1))+1=(2^(2^(n-1))+1)^2-2^(2^(n-1)) 1) Используя формулу разности квадратов , разложим на множители число s , для определенного n имеем s(n)=(2^(2^(n-1))-2^(2^(n-2))+1)*(2^(2^(n-2))-2^(2^(n-3))+1)*(2^(2^(n-3))-2^(2^(n-4))+1)*...*7 (7-это число s при n=1) 2) докажем что каждые два множителя s (вышеописанные множители) взаимно просты. 3)Для начала возьмём какие-нибудь два числа вида 2^(2^n)+1 и 2^(2^k)+1 , тогда докажем что НОД этих чисел будет равен 1. Без потери общности , положим n>k>0 , то все по той же разности квадратов получим 2^(2^n)+1=(2^(2^(n-1))+1)*(2^(2^(n-2))+1)*(2^(2^(n-3))+1)*...(2^(2^k)+1)*...*5 + 2 То есть это говорит о том что, число 2^(2^(n))+1 при деланий на 2^(2^(k))+1 даёт остаток равный 2 и НОД(2^(2^(k))+1 , 2)=1 так как числа рассматриваемого вида , всегда нечётна . То есть числа взаимно простые. 4)Теперь докажем пункт номер 2. Рассмотрим числа вида X=2^(2^k)-2^(2^(k-1))+1 и Y=2^(2^m)-2^(2^(m-1))+1 Используя формулу (a^2-a+1)(a+1)=a^3+1, заменим (2^(2^(k-1))+1)=u и (2^(2^(m-1))+1)=v получим что X*(2^(2^(k-1))+1)=X*u=2^(3*2^(k-1))+1=A , аналогично Y*(2^(2^(m-1))+1)=Y*v=2^(3*2^(m-1))+1=B Для чисел A и B рассуждая абсолютно аналогично как и в пункте 3 , следует что нод (A,B)=1 то есть они взаимно просты. Стало быть если НОД(X*u,Y*v)=1 и НОД(u,v)=1 значит и НОД(X,Y)=1 тем самым пункт 2 доказан. 5) Если записать упрощенна s(n)=a1*a2*a3*a4***a(n-1)*..*7 из пункта 2 следует (то что любые два числа взаимно просты) , это значит что у s(n) не существует простых делителей вида p^a где p-простое число , "a" целое положительное. В свою очередь это значит что если числа a1,a2,a3 итд являются сами простыми , то у него будет ровно n делителей , если хотя бы какое одно число не простое , то при разложений его , на простые множители , учитывая пункт 2, очевидно что будет больше чем n делителей.
4,6(1 оценок)
Это интересно:
Новые ответы от MOGZ: Математика
logo
Вход Регистрация
Что ты хочешь узнать?
Спроси Mozg
Открыть лучший ответ