М
Молодежь
К
Компьютеры-и-электроника
Д
Дом-и-сад
С
Стиль-и-уход-за-собой
П
Праздники-и-традиции
Т
Транспорт
П
Путешествия
С
Семейная-жизнь
Ф
Философия-и-религия
Б
Без категории
М
Мир-работы
Х
Хобби-и-рукоделие
И
Искусство-и-развлечения
В
Взаимоотношения
З
Здоровье
К
Кулинария-и-гостеприимство
Ф
Финансы-и-бизнес
П
Питомцы-и-животные
О
Образование
О
Образование-и-коммуникации
asyazakharchenko3011
asyazakharchenko3011
25.07.2022 09:18 •  Математика

Вычислите : log5 25 + log3 81 - log5 1/5

👇
Ответ:
zayetsnataki
zayetsnataki
25.07.2022

7

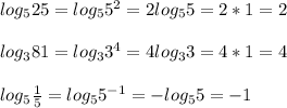
log_525+log_381-log_5\frac{1}{5}=2+4-(-1)=6+1=7

Пошаговое объяснение:

log_525=log_55^2=2log_55=2*1=2log_381=log_33^4=4log_33=4*1=4log_5\frac{1}{5}=log_55^{-1}=-log_55=-1

4,7(25 оценок)
Открыть все ответы
Ответ:
Milka210413
Milka210413
25.07.2022
Мин йөзәргә бик яратам. Бу − минем иң яраткан шөгылем. Мин бассейнга йөрим, анда йөзү секциясендә шөгыльләнәм. Миңа бигрәк тә баттерфляй ысулы белән йөзү ошый. Ул брасс стиленә охшаган, тик йөзгәндә кулларны гына судан чыгарасың.Йөзү мускулларны ныгыта һәм сулыш алуны яхшырта. Мин, йөзү белән җитди шөгыльләнә башлаганнан соң, физик яктан ныгыдым. Йөзү буенча район ярышларында катнаштым. Дөрес, югары урыннар алмадым. Әмма анысы бик үк мөһим дә түгел, чөнки мин спорт белән сәламәтлек өчен шөгыльләнәм.Үземнең организмны ныгыту өстенә, мин әле спорт секциясенә йөри башлагач яңа дусларым белән аралашам. Без барыбыз да сәламәт яшәү рәвеше алып барабыз.Әти-әнием дә хәзер минем өчен бик шатланалар. Безнең бассейнда уздырылган ярышларга, башка спорт төрләре буенча ярышларга йөрибез. Әтием минем белән горурлана, дип уйлыйм мин.
4,7(99 оценок)
Ответ:
Дайяник
Дайяник
25.07.2022
Рассмотрим каждое неравенство:
1) x2+64<0
x2<-64
Квадрат любого числа является числом положительным, следовательно, ни при каких x x2 не может быть меньше отрицательного числа. Поэтому данное неравенство не имеет решений.
2) x2+64>0
x2>-64
Как говорилось ранее, x2 - число положительное, следовательно, для любого x это неравенство верно. Т.е. решение данного неравенства x⊂(-∞;+∞)
3) x2-64>0
x2>64
Очевидно, что найдутся такие x, что x2>64 (например x=100). Следовательно, данное неравенство имеет решения.
4) x2-64<0
x2<64
Очевидно, что найдутся такие x, что x2<64 (например x=1). Следовательно, данное неравенство имеет решения.
ответ: 1)
4,8(28 оценок)
Это интересно:
Новые ответы от MOGZ: Математика
logo
Вход Регистрация
Что ты хочешь узнать?
Спроси Mozg
Открыть лучший ответ