М
Молодежь
К
Компьютеры-и-электроника
Д
Дом-и-сад
С
Стиль-и-уход-за-собой
П
Праздники-и-традиции
Т
Транспорт
П
Путешествия
С
Семейная-жизнь
Ф
Философия-и-религия
Б
Без категории
М
Мир-работы
Х
Хобби-и-рукоделие
И
Искусство-и-развлечения
В
Взаимоотношения
З
Здоровье
К
Кулинария-и-гостеприимство
Ф
Финансы-и-бизнес
П
Питомцы-и-животные
О
Образование
О
Образование-и-коммуникации
aliha001
aliha001
24.10.2021 18:07 •  Математика

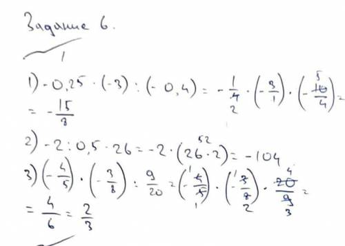
А вот и второе фото точно также я пока сплю я очень надеюсь тут уже будет всё готово иначе я не хочу 2 получить по математике, спокойной ночи) буду ждать ответа


А вот и второе фото точно также я пока сплю я очень надеюсь тут уже будет всё готово иначе я не хочу

👇
Ответ:
Ta4er11
Ta4er11
24.10.2021

Привет ещё раз! Что-то я в итоге не уснул, поэтому снова решил тебе с математикой) Ещё раз тебе удачи, и спокойной ночи!)) :D

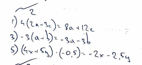
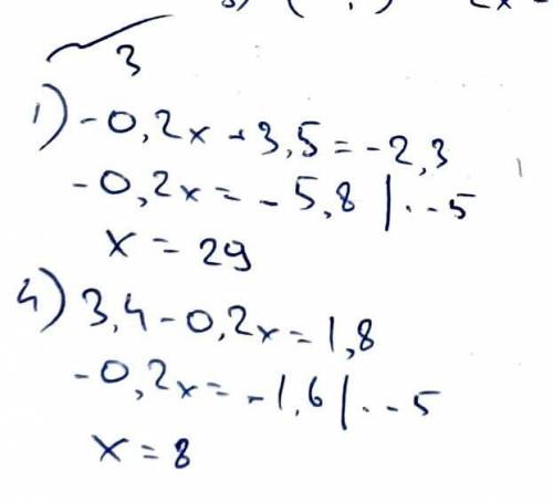
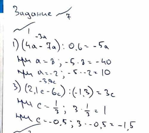
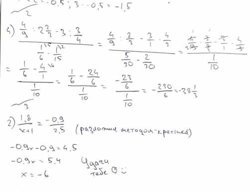
(все ответы с решениями на листочках)


А вот и второе фото точно также я пока сплю я очень надеюсь тут уже будет всё готово иначе я не хочу
А вот и второе фото точно также я пока сплю я очень надеюсь тут уже будет всё готово иначе я не хочу
А вот и второе фото точно также я пока сплю я очень надеюсь тут уже будет всё готово иначе я не хочу
А вот и второе фото точно также я пока сплю я очень надеюсь тут уже будет всё готово иначе я не хочу
А вот и второе фото точно также я пока сплю я очень надеюсь тут уже будет всё готово иначе я не хочу
4,4(23 оценок)
Открыть все ответы
Ответ:
egorhoyrovegiror
egorhoyrovegiror
24.10.2021
Давайте решим эту задачу пошагово:

1. Пусть исходное число, справа от которого написана цифра 4, будет обозначаться буквой "x".
Тогда новое число будет составляться из числа "x" и цифры 4. Мы можем записать это как "x4".

2. Согласно условию задачи, сумма нового числа (x4) и исходного числа (x) составляет 499. Мы можем записать это как уравнение:
x + x4 = 499.

3. Давайте решим это уравнение. Сложим числа x и x4, чтобы получить исходное уравнение:
x + x4 = 499.

4. Мы можем добавить числа x и x4 аддитивным свойством равенства, поэтому:
1x + 4 = 499.

5. Теперь мы можем убрать знак умножения в 1x и просто записать x:
x + 4 = 499.

6. Теперь нам нужно избавиться от числа 4, которое добавлено к x. Для этого вычтем 4 из обеих сторон уравнения:
x + 4 - 4 = 499 - 4.

7. После упрощения получим:
x = 495.

Таким образом, исходным числом является 495.

Возможные варианты ответов даны в виде букв. Исходное число 495 не соответствует ни одному из предложенных вариантов, поэтому правильный ответ на вопрос отсутствует в предложенных вариантах.
4,7(100 оценок)
Ответ:
рома1340
рома1340
24.10.2021
Чтобы запиcать значение выражения 11/5 + 8/5 в виде смешанного числа, нужно сначала сложить числители (верхние числа) и сохранить такую же дробную часть (разделительная черта), а затем разделить полученную сумму на знаменатель (нижнее число).

Таким образом, выполним сложение числителей:

11/5 + 8/5 = 19/5.

Поскольку у нас уже есть неправильная дробь (числитель больше знаменателя), можем записать ответ в виде смешанного числа.

Для этого разделим числитель (19) на знаменатель (5):

19 ÷ 5 = 3 остаток 4.

Ответ будет иметь вид: 3 и 4/5.

Таким образом, значение выражения 11/5 + 8/5 равно 3 и 4/5.
4,4(66 оценок)
logo
Вход Регистрация
Что ты хочешь узнать?
Спроси Mozg
Открыть лучший ответ